|
Description
|
-
Complex transfer function, with up to
three each of simple poles, simple zeroes, complex poles, and complex zeroes. -
Higher order poles and zeroes are supported.
-
For example, enter zero frequency and zero sigma to specify second-order poles at the origin.
-
Enter zero frequency to specify single simple poles and zeroes at the origin.
-
For more complex transfer functions, cascade similar blocks or cascade with the pole, zero, complex pole, differentiator, and integrator blocks.
-
Always use the earlier numbered singularities first. For example, if the number of poles is set to 1, then only pole 1 has effect. The cases of zeroes and complex pairs are similar.
|
|
Library name
|
transferFunction1
|
|
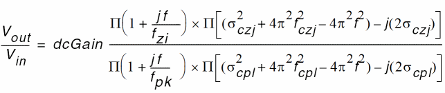
Transfer function
|

Where
fzi is the freqZeroi
fczi is the freqConjZeroj
σczj is the sigmaConjZeroj
fpk is the freqPolek
fcpl is the freqConjPolel
σcpl is the sigmaConjPolel
|
|
Properties (Defaults)
|
dcGain (1)
|
dc and low frequency gain.
|
|
|
inputR (1G ohm)
|
input resistance.
|
|
|
inputC (0)
|
shunt input capacitance.
|
|
|
outputR (0.001 ohm)
|
series output resistance.
|
|
|
outputC (0)
|
output capacitance, parallel with outputR.
|
|
|
nPoles (0)
|
number of real-valued poles. (maximum 3)
|
|
|
nZeroes (0)
|
number of real-valued zeroes. (maximum 3)
|
|
|
nConjPoles (0)
|
number of complex-conjugate poles. (maximum 3)
|
|
|
nConjZeroes (0)
|
number of complex-conjugate zeroes. (maximum 3)
|
|
|
freqPole1 (1000)
|
break frequency of pole1.
|
|
|
freqPole2 (2000)
|
break frequency of pole2.
|
|
|
freqPole3 (3000)
|
break frequency of pole3.
|
|
|
freqZero1 (1000)
|
break frequency of zero1.
|
|
|
freqZero2 (2000)
|
break frequency of zero2.
|
|
|
freqZero3 (3000)
|
break frequency of zero3.
|
|
|
freqConjPole1 (1000)
|
damped natural frequency of complex pole1.
|
|
|
sigmaConjPole1(-5)
|
damping (exponential) term for complex pole1.
|
|
|
freqConjPole2 (2000)
|
damped natural frequency of complex pole2.
|
|
|
sigmaConjPole2(-5)
|
damping (exponential) term for complex pole2.
|
|
|
freqConjPole3 (3000)
|
damped natural frequency of complex pole3.
|
|
|
sigmaConjPole3(-5)
|
damping (exponential) term for complex pole3.
|
|
|
freqConjZero1 (1000)
|
damped natural frequency of complex zero1.
|
|
|
sigmaConjZero1(-5)
|
damping (exponential) term for complex zero1.
|
|
|
freqConjZero2 (2000)
|
damped natural frequency of complex zero2.
|
|
|
sigmaConjZero2(-5)
|
damping (exponential) term for complex zero2.
|
|
|
freqConjZero3 (3000)
|
damped natural frequency of complex zero3.
|
|
|
sigmaConjZero3(-5)
|
damping (exponential) term for complex zero3.
|
|
Input impedance
|
Infinite
|
|
Output impedance
|
Zero
|
|
Frequency response
|
Function of the input properties.
|