The Worst-Case Distance Method
The Worst-Case Distance (WCD) method defines the shortest distance from the nominal point to the specification boundary in the process/mismatch parameter space. WCD typically requires under 100 simulations for each spec and so is suitable for designs with a small number of specs/parameters that need to be monitored/changed.
When the target yield sigma value is greater than 4, you can select the WCD method to verify the yield of the design.
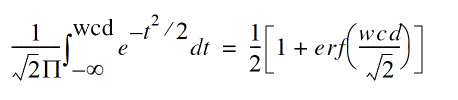
The worst case distance is a good indicator of circuit yield, where yield in percentage is approximately equal to:

where, erf is the error function.
WCD provides accurate yield estimation when the specification boundary is linear in the process or mismatch parameter space. Strong non-linearity of the specification boundary can cause difficulty in finding the WCD points. A non-linear specification however may not result in a non-linear specification boundary in statistical space.
The Worst Case Corners method supports only statistical parameters that follow a normal distribution. It begins with a Monte Carlo Sampling run, uses the Monte Carlo results to filter non-high yield specifications (for which the Monte Carlo run gives accurate yield estimates), and then applies the WCD method on each high yield specification by doing the following:
- Reads the process and mismatch parameter information from the Monte Carlo results
- Performs parameter reduction based on the Monte Carlo results
- Runs multiple sensitivity analysis iterations to find the WCD
Before you run Monte Carlo with this method, ensure that the Range and tolerance (tol) type specifications are disabled or deleted in the Outputs Setup tab of ADE Assembler. This is because these two specifications are not supported for Worst Case Distance. You can also convert the range and tolerance (tol) type specifications into two separate specifications for the min and max boundaries.
Related Topics
Running the Worst-Case Distance Method
Return to top