Pole Symbol

The following table summarizes the details of this symbol.
| Description | |
| Library name | |
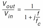
| Transfer function | |
| Properties (Defaults) | |
| Input impedance | |
| Output impedance | |
| Frequency response |
Return to top

The following table summarizes the details of this symbol.
| Description | |
| Library name | |
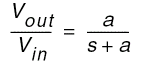
| Transfer function | |
| Properties (Defaults) | |
| Input impedance | |
| Output impedance | |
| Frequency response |