Product Documentation
Contents
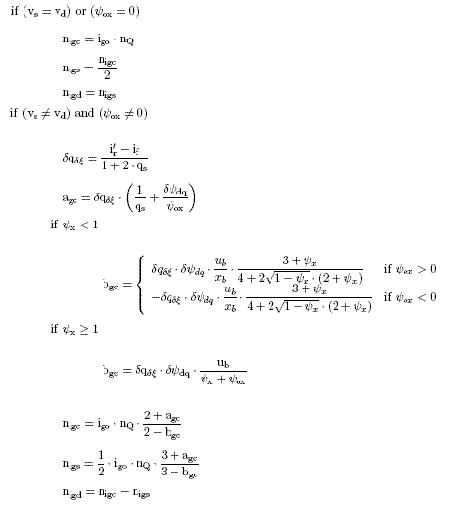
Gate Induced Drain and Source ...
View/Print PDF
Impact Ionization Current
Spectre Circuit Simulator Components and Device Models Reference
Product Version 23.1, June 2023
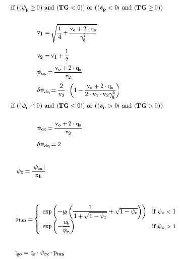
Gate Current
(-54)
(-55)
(-56)
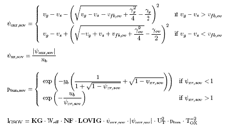
Overlap Gate Current
Gate - Source (Overlap Current)
(-57)
Gate - Drain (Overlap Current)
Equations similar to Gate - Source (Overlap Current)
Return to top
⠀
X