Product Documentation
Spectre Circuit Simulator Components and Device Models Reference
Product Version 23.1, June 2023

Instance Level

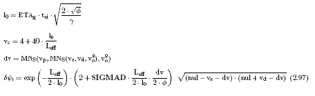
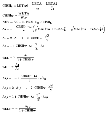
Effective Geometry

(-2)

Matching

(-3)

Long and wide channel correction of VTO and GAMMA

(-4)

Parameter width and length scaling

(-5)

Reverse short channel effect (RSCE)

(-6)

Inverse narrow width effect (INWE)

(-7)

Mobility Scaling

(-8)

Instance level parameters

(-9)

Temperature scaling

(-10)

Normalizing

(-11)

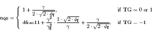
Slope factor nQ0

(-12)

Quantum mechanic effect

(-13)

Normalization factor for charges

(-14)

Normalization of potentials

(-15)

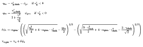
Charge sharing effect

(-16)

Flat-band voltage

(-17)

Effective gate-voltage

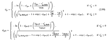
(-18)

Pinch-off surface potential

Approximation around zero

(-19)

Exact solution

(-20)

Pinch-off voltage

(-21)

Velocity saturation

(-22)

Channel length modulation

(-23)

Normalized drain inversion charge

(-24)

Normalized forward current

(-25)

Slope factor nv

(-26)

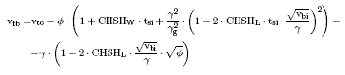
Drain induced barrier lowering effect

(-27)

Normalized source inversion charge

(-28)

Normalized forward current

(-29)

Slope factor nQ

(-30)

Charge model

(-31)

Quantum mechanic effect

(-32)

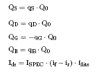
QS, QD, QG, QB

(-33)

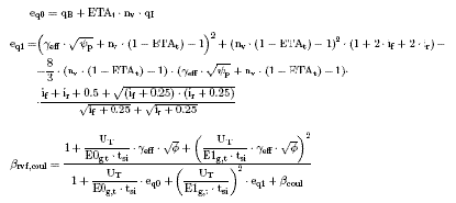
Mobility effects

Coulomb scattering

(-34)

Vertical field effect

(-35)

Channel length modulation

(-36)

Overall effect

(-37)

Specific current

(-38)

Drain induced threshold shift

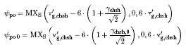
(-39)

Denormalizing

(-40)


Return to top
 ⠀
X