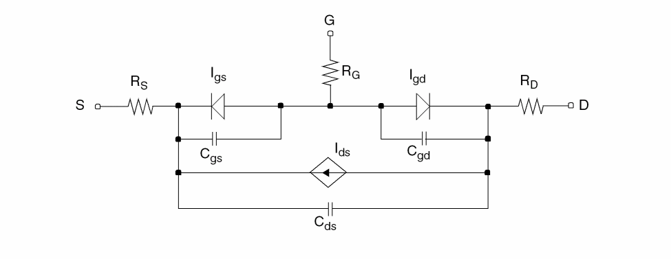
Model Equations

The charge model in GaAs is a charge-conserving model. The capacitances are nonreciprocal.
Drain Current for the Subthreshold Region
Drain Current for the Triode Region
Drain Current for the Saturation Region
Gate Junction Currents
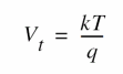
where Vt is the thermal voltage given by
,
is the forward explosion voltage,
is the conductance at VExpl, and
is the current linearly extrapolated to V = 0 from VExpl.
Gate Junction Capacitance
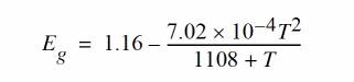
Temperature Effect
Junction Potential
Gate Junction Current
where, if SPICE compatibility is required (set by the options),
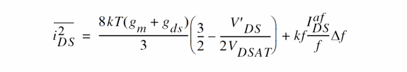
Noise Model
Source Series Resistance Thermal Noise
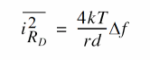
Drain Series Resistance Thermal Noise
Channel Conductance Thermal and Flicker Noise
gm is the transconductance, gds is the channel conductance, and kf and af are constants for a given device. The Spectre® circuit simulator defaults for kf and af are 0.0 and 1.0, respectively.
Related Topics
Return to top






