Bias Dependence of Parasitics
If there are no area or perimeter component of saturation current, e.g. for poly resistors,

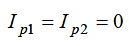
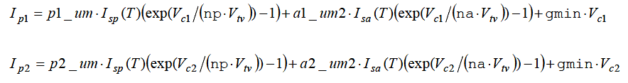
If there are area and/or perimeter components of saturation current, e.g. as for diffused resistors, the parasitic diode currents are

where Vc1 =V(nc)-V(i1), Vc2 =V (nc)-V(i2), and gmin is a small conductance added by some simulators to improve convergence. Note that, when sw_accpo > 0, Vc1 and Vc2 are limited to pinch-off by a smoothing equation. Each individual component of the diode currents is linearized for forward biases greater than the voltage at which the component is imax.
The breakdown currents, which are added to each parasitic current, are

and each of these is linearized for reverse biases greater than the voltage as which the magnitude of the current is imax.
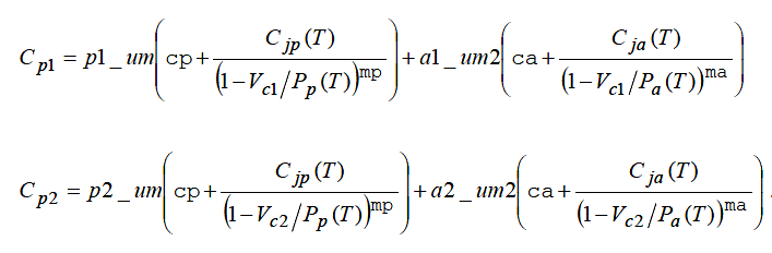
The parasitic capacitances comprise a bias independent component (intended for poly resistor modeling) and a bias dependent component (intended for diffused resistor modeling). The capacitances are implemented as bias dependent charges, but the resulting capacitances are given here

The forward bias junction capacitance components are modified so that when the junction voltage (Vc1 or Vc2 ) reaches fc multiplied by the associated built-in potential, the capacitance becomes linear in voltage, to avoid the singularity at the built-in potential. If the smoothing parameters aja and ajp are positive, then the transition from depletion to linear capacitance is done smoothly and not abruptly.
The thermal resistance and capacitance for the self-heating model are linear, and do not depend on temperature. The thermal power used for self-heating modeling is the sum of the powers of all dissipative (non-storage) elements in the equivalent circuit; i.e. the resistor body, the two end resistances, and two parasitic current sources.
Return to top