Product Documentation
Spectre Circuit Simulator Components and Device Models Reference
Product Version 23.1, June 2023

Reference

Model Equations

Some important model equations are listed as following for your reference:

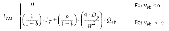
Equations for DC current

MOSFET channel current

(-1)

Anode current: current through the resistor Rb

(-2)

Steady-state collector current

(-3)

Steady-state base current

(-4)

Avalanche multiplication current

(-5)

Equations for capacitance and charge

Gate Source

(-6)

Drain Source

(-7)

Where

(-8)

Gate Drain

(-9)

Instance Parameters

area (m^2)  

Area of the device.

wb (m)  

Metallurgical base width.

tau (s)  

Ambipolar recombination lifetime.

agd (m^2)  

Gate-drain overlap area.

kp (A/V^2)  

MOS transconductance.

trise (C)  

Device temperature increased.

Model Parameters

Default for instance parameters

area=1.0e-5 m^2  

Default area of the device.

wb=9.0e-5 m  

Default metallurgical base width.

tau=7.1e-6 s  

Default ambipolar recombination lifetime.

agd=5.0e-6 m^2  

Default gate-drain overlap area.

kp=0.38 A/V^2  

Default MOS transconductance.

Basic Device Parameters

vt=4.7 V  

Threshold voltage.

kf=1.0  

Triode region factor.

theta=0.02 1/V  

Transverse field factor.

nb=2.0e14 cm^-3  

Base doping.

mun=1.5e3 cm^2/(V*s)

Electron mobility.

mup=4.5e2 cm^2/(V*s)

Hole mobility.

jsne=6.5e-13 A/(cm^2)

Emitter saturation current density.

bvn=4.0  

Avalanche multiplication exponent.

bvf=1.0  

Avalanche uniformity exponent.

cgs=1.24e-8 F/(cm^2)

Gate-source capacitance per unit area.

coxd=3.5e-8 F/(cm^2)

Gate-drain oxide capacitance per unit area.

vtd=1.0e-3 V

Gate-drain overlap depletion threshold.

Operating Point Parameters

ice (A)  

Collector-emitter current.

vce (V)  

Collector-emitter voltage.

vds (V)  

Internal Vds of mosfet.

vge (V)  

Gate-emitter voltage.

vdsat (V)  

Drain-source saturation voltage.

gm (S)  

Common-source transconductance.

ic_bjt (A)  

Resistive collector current.

ie (A)  

Resistive emitter current.

imult (A)  

Avalanche multiplication current.

ib_bjt (A)  

Steady-state base current.

imos (A)  

MOSFET channel current.

cge (F)  

dQg_dVe.

cgg (F)  

dQg_dVg.

pwr (W)  

Power at operating point.

cdg (F)  

dQd_dVg.

cds (F)  

dQd_dVs.

qgs (Coul)  

Qgs for mosfet.

qds (Coul)  

Qds for mosfet.

qdg (Coul)  

Qdg for mosfet.

qeb (Coul)  

Qeb for bjt.

Related Topics

IGBT0 Model (igbt0)


Return to top
 ⠀
X