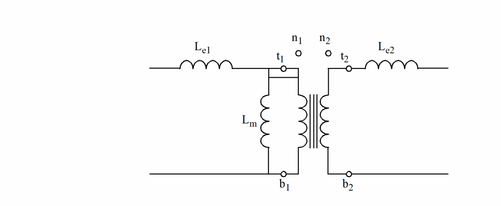
Linear Two Winding Ideal Transformer (transformer)
Winding 1 connects terminals t1 and b1, and winding 2 connects terminals t2 and b2. The number of turns on winding 1 and winding 2 is given by n1 and n2, respectively, where n2 must not be zero. The absolute number of turns of each winding is not important; only the ratio of n1 to n2. Current through winding 1 is computed.
This device is not supported within altergroup.
An ideal transformer is modeled, so it acts as a transformer at DC. Thus
To model a physical transformer with L1 and L2 as the inductance of the windings and k as the coupling coefficient, add an inductor Lm = k.L1 in parallel with winding 1 and inductors Le1 = L1.(1 - k) and Le2 = L2.(1 - k) in series with windings 1 and 2, respectively. The ratio of the turns can be computed, as shown below.
k can be calculated from L1 (inductance of winding 1 with

Instance Syntax
Name t1 b1 t2 b2 transformer parameter=value ...
Instance Parameters
Related Topics
Return to top


