BSIM-CMG Model Equations
Bias Independent Calculations
Physical constants
Physical quantities in BSIM-CMG are in M.K.S units unless specified otherwise.



Effective Channel Width, Channel Length and Fin Number


If BULKMOD=1 and CAPMOD=1 then
Quantum Mechanical Effects
The following bias-independent calculations are for the threshold voltage shift and bias dependence of inversion charge centroid due to quantum mechanical confinement.

Binning Calculations
For given L and NFIN, each model parameter PARAMi is calculated as a function of PARAM, a length dependent term, LPARAM, a number of fin per finger(NFIN) dependent term, NPARAM, product L x NFIN term, and PPARAM:

Terminal Voltages
Terminal Voltages and Vdsx Calculation

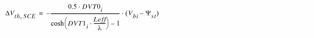
Short Channel Effects
Weighting Function for Forward and Reverse Mode
All above PARAMa=PARAM and reverse mode parameter PAPAMR are ignored.
Vt Roll-off, DIBL, and Subthreshold Slope Degradation



Surface Potential Calculation
Surface potentials at the source and drain ends are derived from the Poisson's equation with a perturbation method and computed using the Householder's cubic iteration method. Perturbation allows accurate modeling of finite body doping.
When the body is lightly-doped, a simplified surface potential algorithm can be activated by setting COREMOD=1 to enhance computational efficiency.
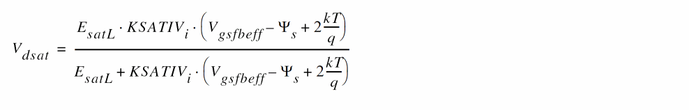
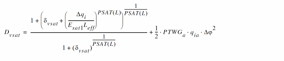
Drain Saturation Voltage
Electric Field Calculations
If GEOMOD is not equal to 3 then

Drain Saturation Voltage (Vdsat) Calculations







Average Potential and Charge
If GEOMOD is not equal to 3 then




Quantum Mechanical Effects
Charge Centroid Calculation


Effective Width Model



Effective Oxide Thickness/Effective Capacitance
If QMTCENCVi is not equal to 0 then

Charge Centroid Calculation for Accumulation


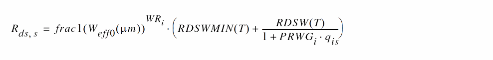
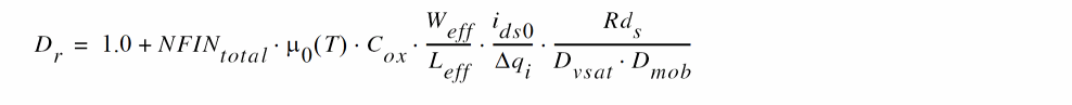
Mobility Degradation and Series Resistance
Mobility Degradation




Lateral Non-uniform Doping Model

Body Effect Model

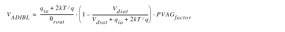
Output Conductance
Channel Length Modulation


Output Conductance due to DBL




Velocity Saturation
Current Degradation Due to Velocity Saturation


Non-Saturation Effect

Drain Current Model

Intrinsic Capacitance Model
Channel Length Modulation


Intrinsic (Normalized) Charge


Accumulation Charge

Terminal Charges
Terminal Charges
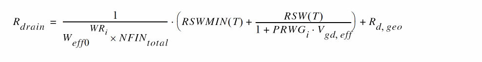
Parasitic resistances and capacitance models
BSIM-CMG models the parasitic source/drain resistance in two components: a bias dependent extension resistance and a bias independent diffusion resistance. Parasitic gate resistance is modeled as well.




Rs,geo and Rd,geo are the source and drain diffusion resistances, described as follows:
Velocity saturation effect in drain/source resistances
This model only works for RDSMOD = 1. At high current levels, the charge carriers in drain/source resistances may undergo velocity saturation. To this end, two resistances Rvs;d and Rvs;s are added at the drain and source sides, and expressed as follows.


Sheet Resistance Model
RGEOMOD = 0 (sheet resistance model)
Diffusion Resistance Model for Variability Modeling

Gate Electrode Resistance Model

Bias-dependent Overlap Capacitance Model
The bias-dependent overlap capacitance model in BSIM-CMG is adopted from BSIM4 for CGEOMOD = 0 and CGEOMOD = 2. The overlap charge is given by:


Substrate Parasitics

Fringe Capacitances and Capacitance Model Selectors
R-C network for CGEOMOD=0, NQSMOD=1, RGATEMOD=1 and RDSMOD=1.
If NQSMOD, RGATEMOD or RDSMOD is 0, then the corresponding resistances become 0 and the nodes collapse.
R-C network for CGEOMOD=1, NQSMOD=1, RGATEMOD=1 andRDSMOD=1.
If NQSMOD, RGATEMOD or RDSMOD is 0, then the corresponding resistances become 0 and the nodes collapse.




Impact Ionization and GIDL/GISL Model
Impact Ionization Current
Iii can be switched off by setting IIMOD = 0


Gate-Induced-Drain/Source-Leakage Current
GIDL/GISL are calculated only for GIDLMOD = 1




Gate Tunneling Current
Gate to body current Igbinv and Igbacc is calculated only if IGBMOD = 1


Gate to channel current Igc is calculated only for IGCMOD = 1.



Gate to source/drain current Igs, Igd are calculated only for IGCMOD = 1



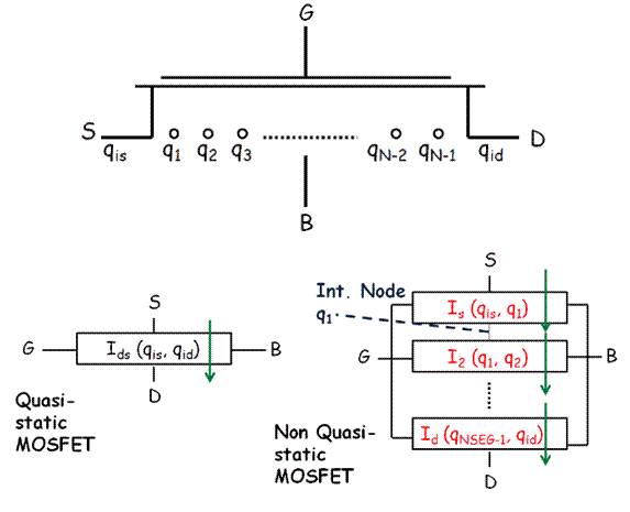
Non Quasi-static Models
This version offers three different non quasi-static (NQS) models. Each of these can be turned on/off using the NQSMOD switch. Setting NQSMOD = 0 turns off all NQS models and switches to plain quasi-static calculations.
Gate Resistance Model (NQSMOD = 1)


R-C network for calculating deficient charge Qdef and the instantaneous charge,
Qdef /
is used in place of the quasi-static charges.
Charge Deficit Model (NQSMOD = 2)




Charge Segmentation Model (NQSMOD = 3)
A N-segment charge-segmented MOSFET with N-1 internal nodes.
Generation-recombination Component

Junction Current and Capacitances
The junction current and capacitances are only calculated for bulk multi-gate devices (BULKMOD = 1).
Self-heating Model
Thermal resistance and capacitance calculations:

Noise Models
Noise models in BSIM-CMG are based on BSIM4. The following table lists the origin of each noise model:
| Model in BSIM-CMG105.0 alpha | Origin |
|---|---|
Flicker Noise Model



Thermal noise model (TNOIMOD = 0)

Gate Current Shot Noise

Resistor Noise
The noise associated with each parasitic resistors in BSIM-CMG is calculated.



Return to top