Modified Meyer Model
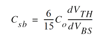
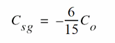
Accumulation Region
All other capacitances are zero.
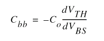
Subthreshold Region
All other capacitances are zero.
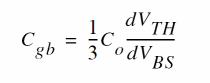
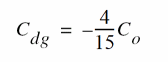
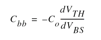
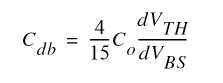
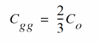
Saturation Region
These equations apply when VGS ≥ VTH and VDS ≥ VDSAT
All other capacitances are zero.
Triode Region
Related Topics
Return to top


