Yang-Chatterjee Model
Accumulation Region
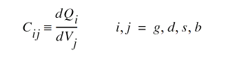
All other capacitances are zero.
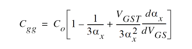
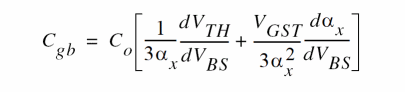
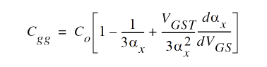
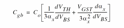
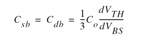
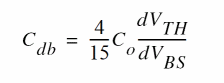
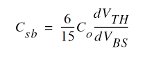
Subthreshold Region
All other capacitances are zero.
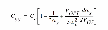
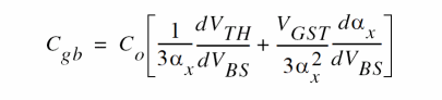
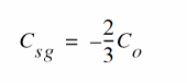
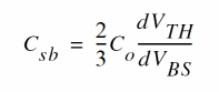
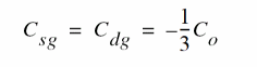
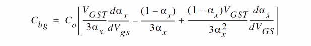
Saturation Region
All other capacitances are zero.
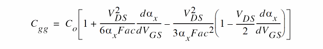
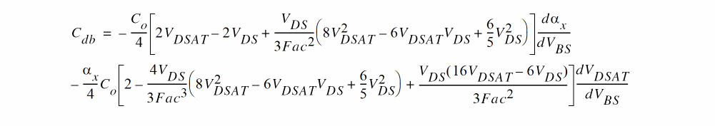
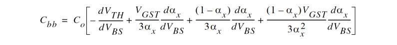
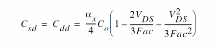
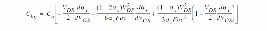
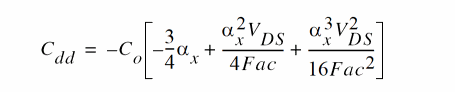
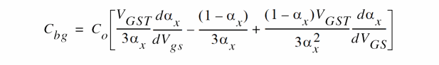
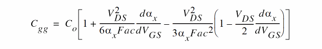
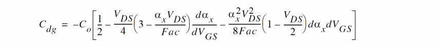
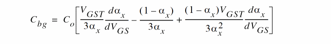
Triode Region
BSIM Charge Model with 0/100 Partitioning (xpart=1)
This model is the same as the Yang-Chatterjee model.
BSIM Charge Model with 40/60 Partitioning (xpart=0)
Accumulation Region
All other capacitances are zero.
Subthreshold Region
All other capacitances are zero.
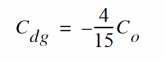
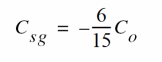
Saturation Region
All other capacitances are zero.
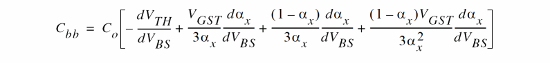
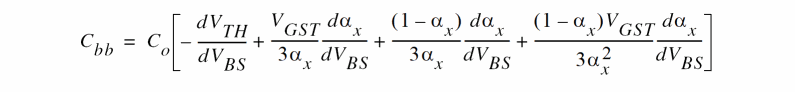
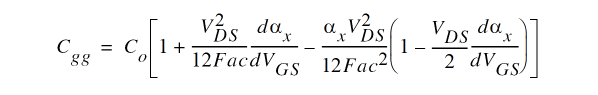
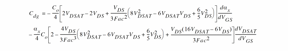
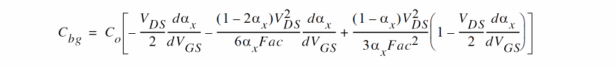
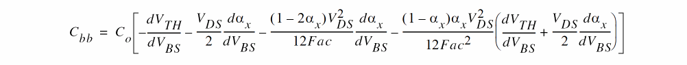
Triode Region
BSIM Charge Model with 50/50 Partitioning (xpart=0.5)
Accumulation Region
All other capacitances are zero.
Subthreshold Region
All other capacitances are zero.
Saturation Region
All other capacitances are zero.
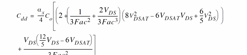
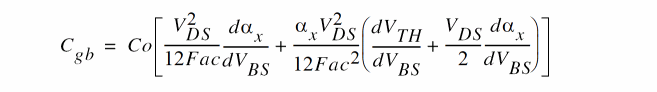
Triode Region
Scaling Effects
For scaling effects, see Scaling Factors (scale and scalem).
Related Topics
Return to top














