Substrate Current
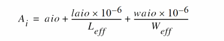
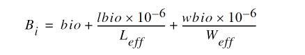
The substrate current results from impact ionization in the velocity saturation region near the drain. This impact-ionization induced current (IDB) flows between the drain and the substrate. You need both aio and bio to use the impact-ionization model.
Return to top

