Drain Current for the Subthreshold Region
You cannot use the subthreshold current equations without nfs.
where IDS,ON is the drain current evaluated at VGS
Drain Current for the Triode Region
Drain Current for the Saturation Region
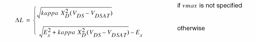
If ΔL Š Leff/2, a new value of ΔL(ΔLnew) is calculated to avoid device punchthrough.
Return to top


\
\


