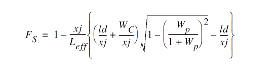
Threshold Voltage
If either xj or nsub is zero, the short-channel effects on threshold voltage are not evaluated; that is, FS = 1.
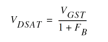
Drain Saturation Voltage
If vmax is not input, VDSAT is determined by the pinchoff condition and is given by
If vmax is specified, VDSAT is determined by the velocity saturation effect.
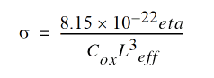
μeff is the effective mobility that is defined later.
Return to top





