Behavioral Source (bsource)
Behavioral source enables you to model a resistor, inductor, capacitor, voltage or current source as a behavioral component. Using bsource, you can express the value of a resistance, capacitance, voltage or current as a combination of device operating points, node voltages, branch currents, and built in Spectre® circuit simulator expressions. bsource simulation performance has now been improved by compiling the bsource devices.
Bsource simulation performance has been improved by compiling the bsource devices. This is explained in more detail in the bsource compilation section below.
Sample Instance Statement
name (node1 node2) bsource behav_param param_list
A simple_expr is defined as a spectre expression containing,
- netlist parameters
- current simulation time, $time
- node voltages, v(a,b), where a and b are nodes in the spectre netlist or v(a), which is voltage between node a and ground
- branch currents, i("inst_id:index"), where inst_id is an instance name given in the netlist and index is the port index. The default value for index is 0.
A generic_expr is defined as a simple_expr or ddt() or idt() of simple_expr. The param_list is param_name=value.
Multiplicity factor
Temperature Parameters
Clipping Parameters
Noise Parameters
DC Mismatch Parameters
Other Parameters
white_noise and flicker_noise may be assigned behavioral expressions; the other parameters must be assigned constant or parametric expressions.Instance Parameters
bsource supports the following instance parameters for the Spectre primitives.
|
isnoisy, m, r, tc1, tc2, trise, kf, af, fexp, ldexp, wdexp, l, w, mr. |
|
Related Topics
Mathematical Definitions
The i and v elements are current and voltage sources respectively with the current and voltage values specified by the generic_expression.
The q and phi elements are defined as:
The r, g, c, and l elements are defined as:
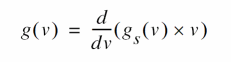
The elements r, g, c, and l are provided for compatibility reasons. The correct resistance, conductance, capacitance, and inductance are different from the expressions you specify. For example, a non-linear conductance is defined as:
where i and v are the conductance branch current and voltage respectively. If we use the conductance element (equation 5-4), and specify the conductance as a function of the branch voltage:
then the true conductance is given by:
i element and specify the current expression as:Related Topics
Noise Model for bsource
Noise sources are implemented for the elements i, v, r, and g.
Noise for Elements i and v
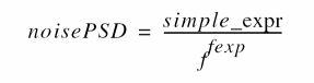
You need to specify the expression for Power Spectrel Density (PSD) using the white_noise and flicker_noise parameters.
where simple_expr is the power of the flicker noise (or white noise) source at 1Hz and fexp is the exponent of the frequency.

The noise source unit is A2/Hz for i and V2/Hz for v. The following is an example of a noise parameter specification for a current source:
where k is the Boltzman constant (1.380626e-23) and
where
V(p,n)
is the voltage across the i element.
The following is an example of a noise parameter specification for a voltage source:
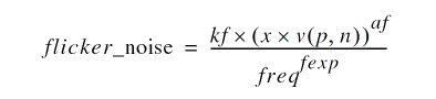
Noise for elements g and r
name(node1node2) bsource { r | g }=simple_exprkf=valueaf=valuefexp=valueisnoisy={ yes | no }
The white_noise and flicker_noise values are calculated from the above expression. When isnoisy=no, noise contributions are turned off. By default the white noise source is on and the flicker noise source is off (default is kf=0).
The noise source for g is a current source in parallel with the g element and the noise power is in units of A2/Hz. If x is the expression for the g element,

where kf , af , and fexp are the values specified for these parameters
k is the Boltzman constant (1.380626e-23)
v(p,n)
is the voltage across the g element.
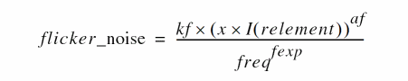
The noise source for r is a current source in parallel with the r element and the noise power is in units of V2/Hz. If x is the expression for the r element,

where kf , af , and fexp are the values specified for these parameters
k is the Boltzman constant (1.380626e-23)
I(relement) is the current through r element.
Temperature Effect on bsource
The equation for calculating temperature effect is:
Related Topics
Return to top