Product Documentation
Contents
BSIM3v2 Level-10 Model (bsim3)
View/Print PDF
Subthreshold Current
Spectre Circuit Simulator Components and Device Models Reference
Product Version 23.1, June 2023
Threshold
Voltage
(-1)
where
(-2)
(-3)
(-4)
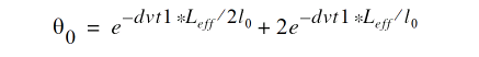
L
eff
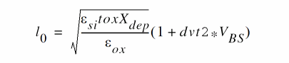
is the effective channel length, and
I
0
is given by
(-5)
and
(-6)
Return to top
⠀
X