Flicker Noise
Two models exist for flicker noise. Each of these can be toggled by the noimod flag.
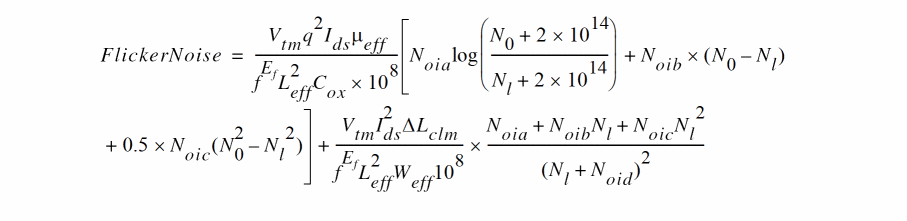
For noimod = 1 and 4
For noimod = 2 and 3
where Vtm is the thermal voltage, μeff is the effective mobility at the given bias condition, Leff and Weff are the effective channel length and width, respectively. The parameter N0 is the charge density at the source given by
The parameter Nl is the charge density at the drain given by
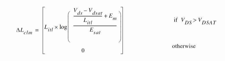
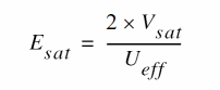
ΔLCLM refers to channel length reduction due to CLM and is given by
where Slimit is the flicker noise calculated at Vgs = Vth + 0.1 and Swi is given by
Return to top





