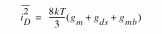
Channel Thermal Noise
Two models exist for channel thermal noise. Each of these can be toggled by the noimod flag.
where gamma is a new model parameter introduced to model short channel device thermal noise. The default value for gamma is 2/3.
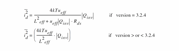
The standard Berkeley BSIM3v3 equation is
where Qinv is the channel inversion charge, and is calculated as follows:
- For version 3.2, the Qinv equations are described in Intrinsic Charges.
Return to top

