Product Documentation
Contents
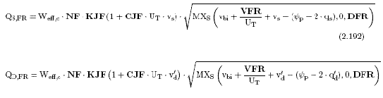
Overlap Capacitances
View/Print PDF
Bias-Independent Overlap Capac ...
Spectre Circuit Simulator Components and Device Models Reference
Product Version 23.1, June 2023
Fringing Capacitance
(-51)
Return to top
⠀
X