Product Documentation
Contents
Edge Conductance
View/Print PDF
Fringing Capacitance
Spectre Circuit Simulator Components and Device Models Reference
Product Version 23.1, June 2023
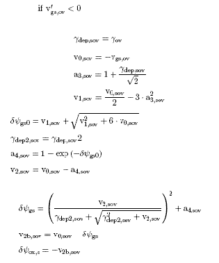
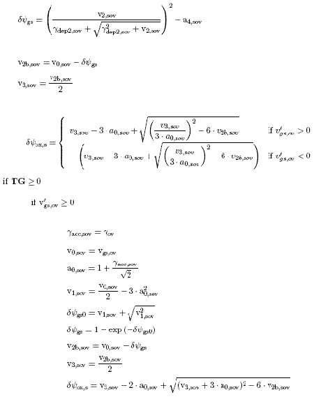
Overlap Capacitances
(-47)
(-48)
(-49)
Denormalizing (Overlap)
(-50)
Return to top
⠀
X