Product Documentation
Spectre Circuit Simulator Components and Device Models Reference
Product Version 23.1, June 2023

Noise

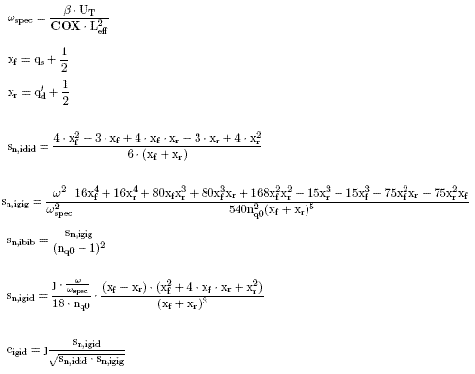
Thermal Noise

(-59)

Flicker Noise

(-60)

Induced Gate Noise

(-61)

Shot and Flicker Gate Noise

(-62)

Here is a table that lists the parameter names and their meaning in the Spectre Noise Summary table for the EKV3.0 model.

Parameter

Meaning

fn_id

Channel current flicker noise

fn_ig

Channel current gate noise

rs

Source parasitic resistor thermal noise

rd

Drain parasitic resistor thermal noise

rg

Gate parasitic resistor thermal noise

rsb

Thermal noise for the substrate resistor connected between BSi and B (see Figure ).

rdb

Thermal noise for the substrate resistor connected between BDi and B (see Figure ).

rbbs

Thermal noise for the substrate resistor connected between BSi and Bi (see Figure  where it is labeled RDSB/2

rbbd

Thermal noise for the substrate resistor connected between BDi and Bi (see Figure  where it is labeled RDSB/2

id

Thermal noise of the channel resistor

cor

Induced gate noise

shot_ig

Gate current shot noise


Return to top
 ⠀
X