Two Terminal Resistor (resistor)

Two Terminal Resistor
If R(inst) is not given and R(model) is given,
If the polynomial coefficients vector (coeffs=[c1 c2 ...]) is specified, the resistor is nonlinear. When nonlinform is set to g, the conductance is

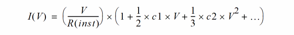
The branch current as a function of applied voltage is
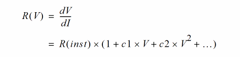
When nonlinform is set to r, the resistance is

where ck is the kth entry in the coefficient vector.
The value of the resistor as a function of the temperature is given by
Rac is an instance or model parameter used in AC analysis.
If Rac(inst) is not given and Rac(model) is given,
The final effective value of AC resistance is:

- Rac is not specified either in the instance or in the model, Rac_eff is the resistor value at operating point.
- Rac_eff is less than 1.0e-10 ohms, Rac_eff=1.0e-10 ohms.
Noise Model
Thermal Noise:

R is the resistor value and T is the temperature.
Flicker Noise:

KF, AF, FEXP, WEEXP, LEEXP, WDEXP, and LDEXP are model parameters, I is the current, f is the frequency, and W and L are the device width and length.
Weff=W-2ETCH and Leff=L-2ETCHL.
Related Topics
Return to top