Operating Point Output
Voltages
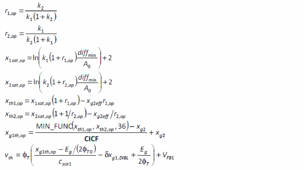
First, the effective threshold voltage of the device has to be calculated at the transistor operating point:

The drain saturation voltage is computed, as follows:
Return to top
First, the effective threshold voltage of the device has to be calculated at the transistor operating point:

The drain saturation voltage is computed, as follows: