Model Equations


When cct=1, Supercurrent Ibj has following expression:

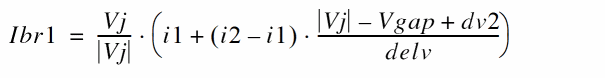
When rtype=1, there is quasiparticle current Ibr. First part of the current has following expression:
When vshunt>0, Ibr also considers another component Ibr2:

Thus, the total quasiparticle current is:
Related Topics
Return to top
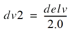
when,
other