Product Documentation
Contents
Model Description
View/Print PDF
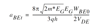
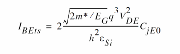
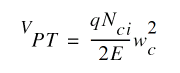
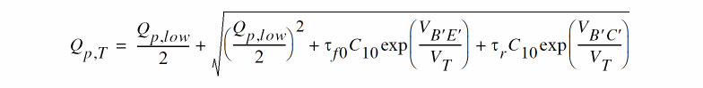
Charge and Capacitance Equatio ...
Spectre Circuit Simulator Components and Device Models Reference
Product Version 23.1, June 2023
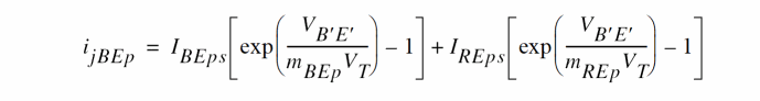
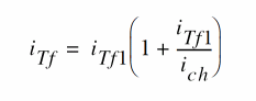
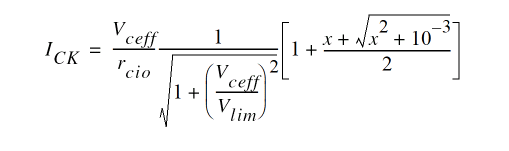
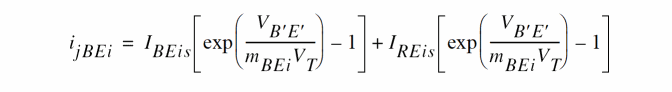
DC Equations
*
Return to top
⠀
X