Product Documentation
Contents
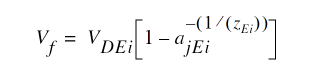
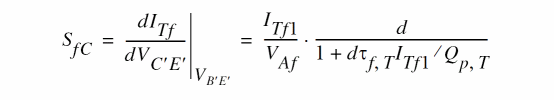
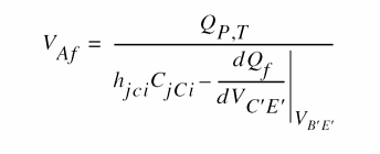
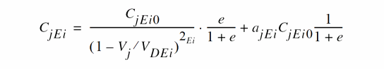
DC Equations
View/Print PDF
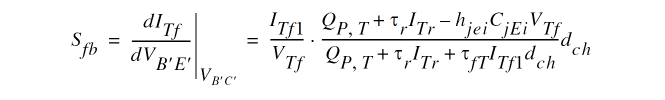
Noise Model
Spectre Circuit Simulator Components and Device Models Reference
Product Version 23.1, June 2023
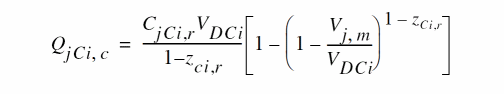
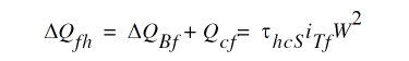
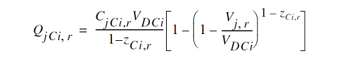
Charge and Capacitance Equations
Return to top
⠀
X