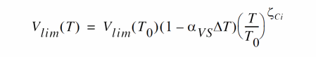
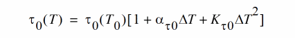
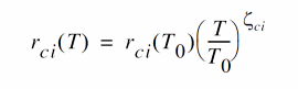
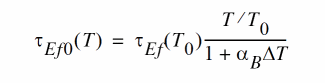
Temperature Effect
The original HICUM model had simple derivatives for some currents and charges, which sometimes caused convergence issues. There have been some enhancements made to solve this problem, especially for AC analyses.
Return to top
The original HICUM model had simple derivatives for some currents and charges, which sometimes caused convergence issues. There have been some enhancements made to solve this problem, especially for AC analyses.