Product Documentation
Spectre Circuit Simulator Components and Device Models Reference
Product Version 23.1, June 2023

Noise Model

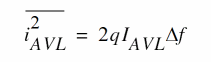
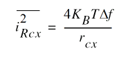
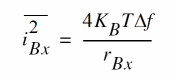
Diode currents Ijdiode={BEi, BCi, BEp, BCx, CS}:

Correlation between base and collector noise spectral density Sincinb:


Return to top
 ⠀
X