Product Documentation
Contents
Series Resistance
View/Print PDF
Noise Model
Spectre Circuit Simulator Components and Device Models Reference
Product Version 23.1, June 2023
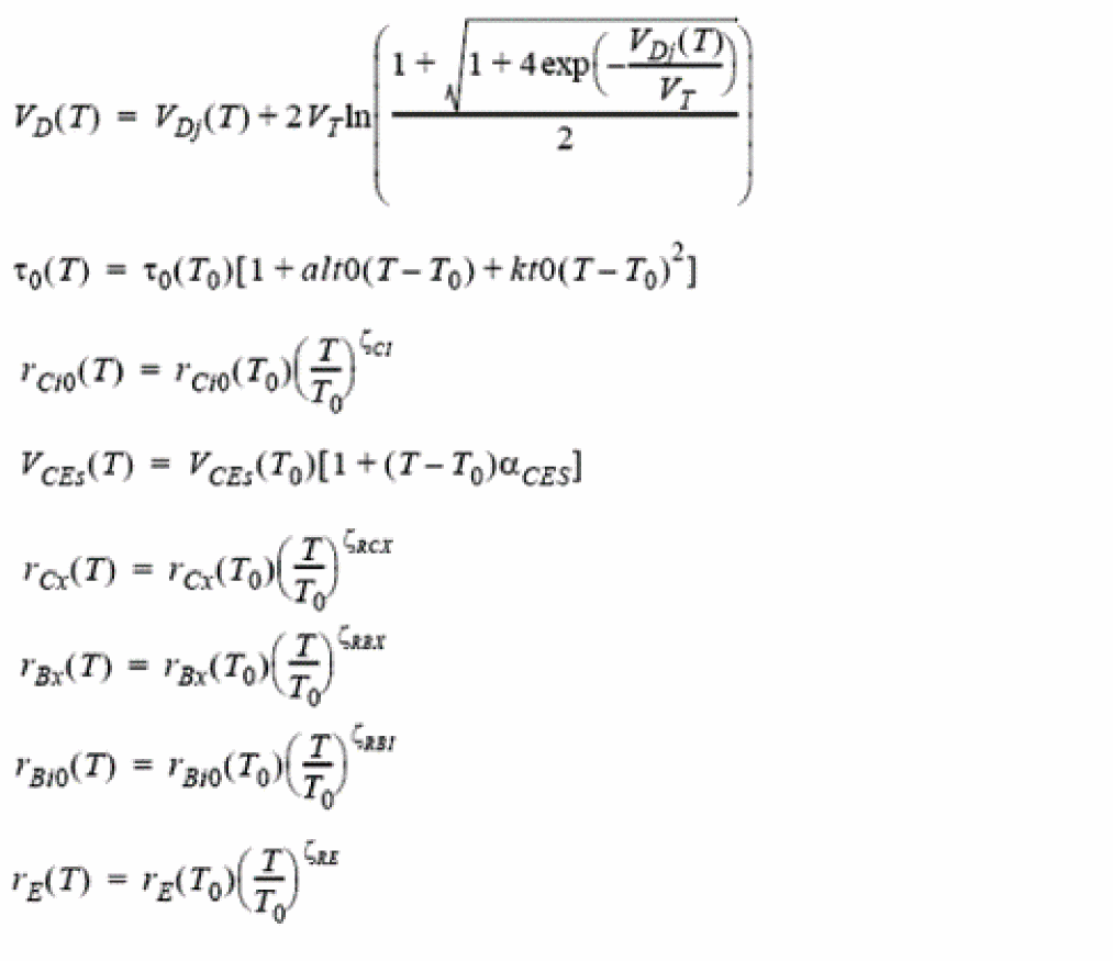
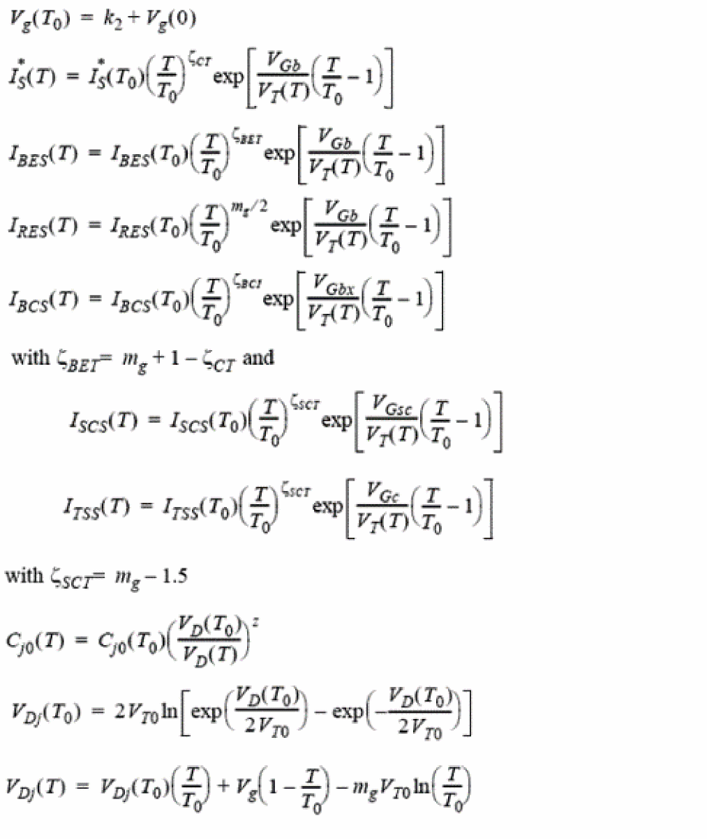
Temperature Dependence
with the definitions
and the bandgap voltage at the measurement reference temperature
Return to top
⠀
X