Product Documentation
Contents
Minority Charges And Capacitan ...
View/Print PDF
Temperature Dependence
Spectre Circuit Simulator Components and Device Models Reference
Product Version 23.1, June 2023
Series Resistance
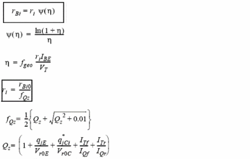
Internal base resistance
External series resistances
Return to top
⠀
X