VBIC 1.2
This section lists equations new for VBIC 1.2. The rest of the equations remain the same as VBIC 1.15 (previous section).
DC Current
{
Ibei = - Ibei(T);
Iben = - Iben(T);
Ibbe = 0;
}
{
Ibexi = - Ibexi(T);
Ibexn = - Ibexn(T);
Ibbex = 0;
}
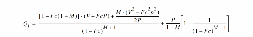
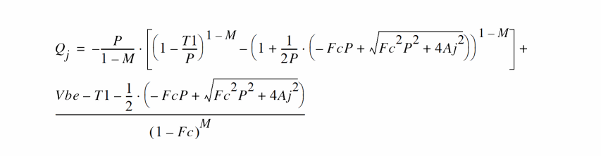
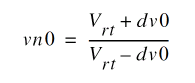
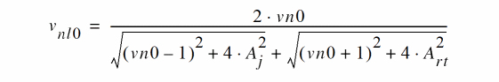
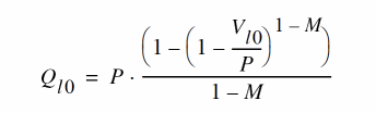
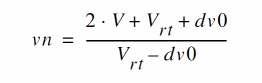
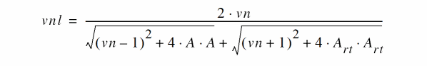
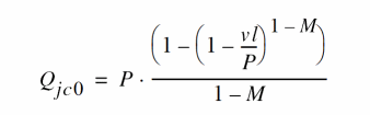
Charge Equations
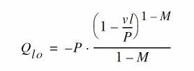
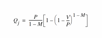
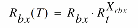
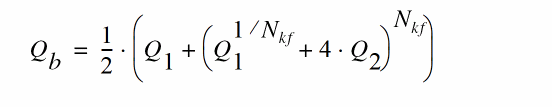
Temperature Equations
If self-heating is on, the device temperature is calculated by
If self-heating is off, the device temperature is calculated by
The model parameter extraction temperature is calculated by
Return to top












