VBIC 1.1
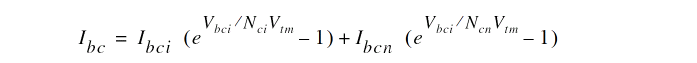
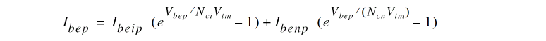
DC Current
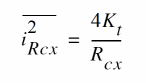
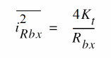
If the backward compatibility flag imeltrci=no (the default value), Kbci and Kbcx are calculated as follows:
If imeltrci=yes, Kbci and Kbcx are limited.
Charge Equations
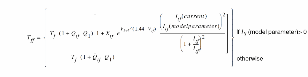
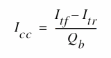
In the above equation, Itf is the current calculated from the equation given under the section DC Current.
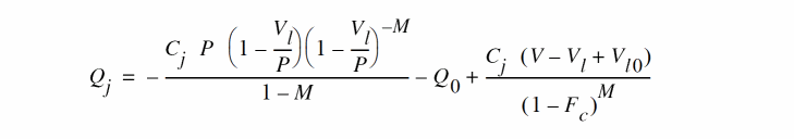
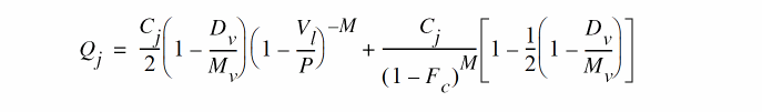
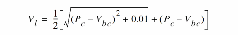
If Aj > 0, Qj(Cj, P, M, Aj, V) is calculated as
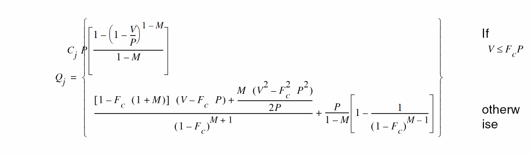
If Aj ≤ 0, Qj(Cj, P, M, Aj, V) is calculated as
Excess Phase
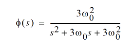
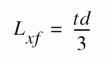
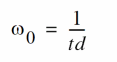
In an actual device, the measured phase shift is often larger than the shift predicted by the lumped model. The excess-phase parameter td accounts for this extra phase shift at high frequencies. An all-pass, second-order Bessel function filter creates this extra phase shift. The frequency response of this filter is
and the phase shift due to this filter is
The Bessel filter is implemented with the excess phase network shown below.

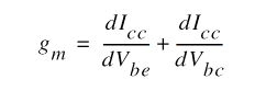
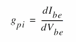
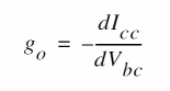
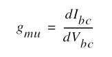
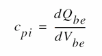
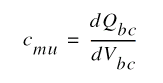
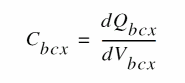
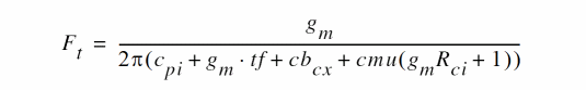
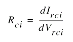
Small Signal Parameters
and tf is the model parameter.
Temperature Equations
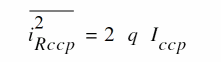
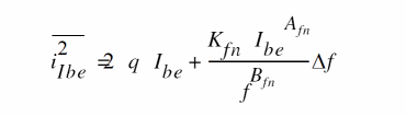
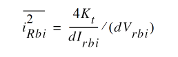
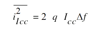
Noise Equations
Related Topics
Return to top




























