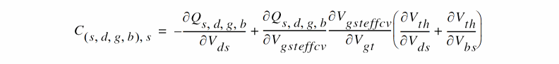
Capacitance Model
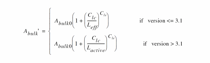
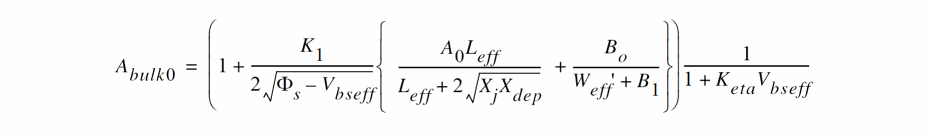
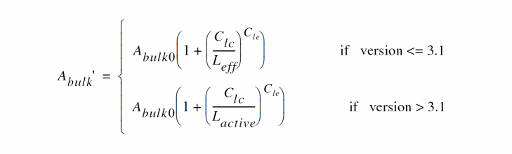
Dimension Dependence
(-63)
(-64)

(-65)
(-66)

Junction Capacitance
If pd > Weff,
(-67)

otherwise
(-68)

where
cjbs
is a function of cj, mj, and pb
cjbssw
is a function of cjsw, mjsw, and pbsw
cjbsswg
is a function of cjswg, mjswg, and pbswg
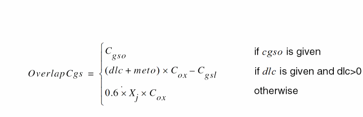
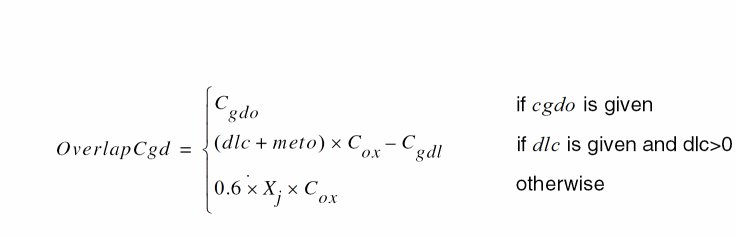
Overlap Capacitance (for NMOS)
(-69)

(-70)

(-71)

If OverlapCgs/OverlapCgd < 0, OverlapCgs/OverlapCgd=1.0e-7*Tox
OverlapCgb<0, OverlapCgb=0
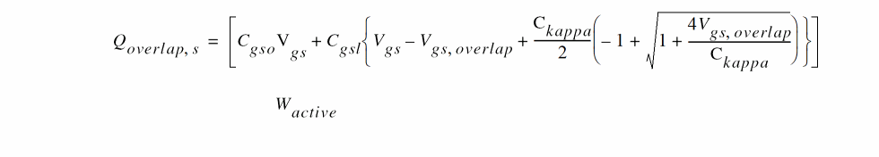
Source Overlap Capacitance
For capmod=0,
(-72)
For capmod=1,
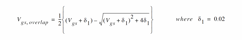
if (Vgs < 0),
(-73)

else
(-74)

For capmod=2,

(-75)

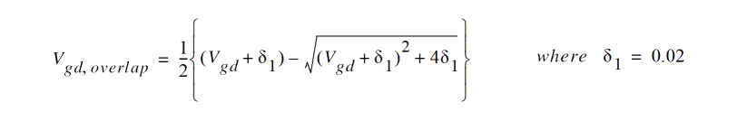
Drain Overlap Capacitance
For capmod=0,
(-76)
For capmod=1,
if (Vgd < 0),
(-77)

else
(-78)

For capmod=2 or 3,
(-79)

(-80)

Gate Overlap Charge
(-81)
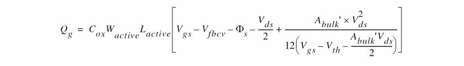
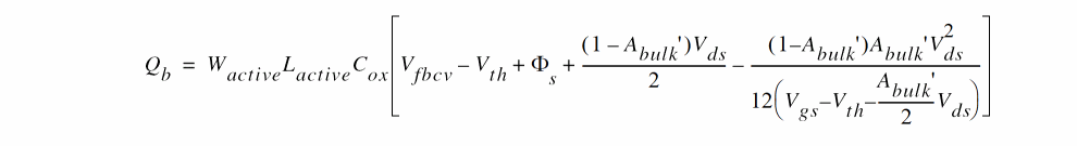
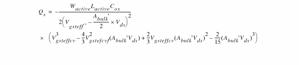
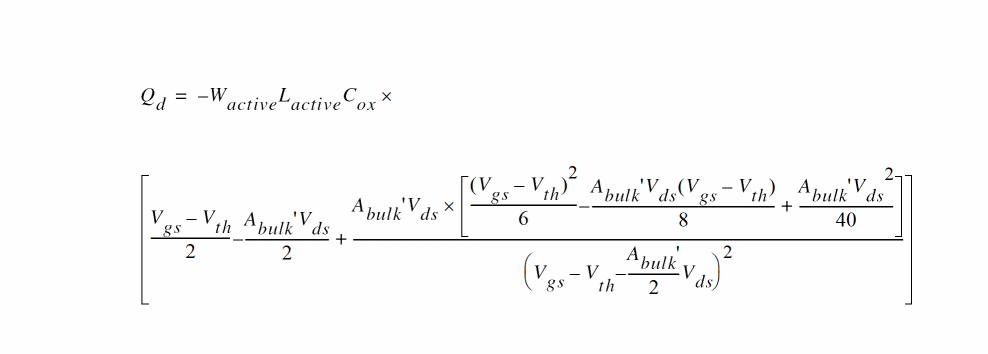
Intrinsic Charges
For capmod=0
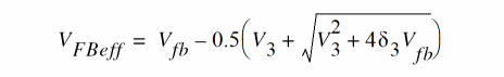
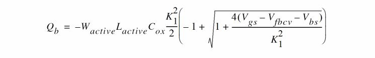
Accumulation region (Vgs < Vfb + Vbs)
(-82)
(-83)
(-84)
Subthreshold region (Vgs < Vth)
(-85)
(-86)

(-87)

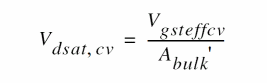
Strong inversion (Vgs > Vth)
(-88)
(-89)
(-90)

(-91)
50/50 Charge Partition
(-92)
If 
(-93)

(-94)

(-95)

(-96)
(-97)

otherwise,
(-98)

(-99)

(-100)

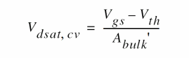
40/60 Channel-Charge Partition
If Vds < Vdsat,
(-101)

(-102)

(-103)

(-104)
(-105)

otherwise,
(-106)

(-107)

(-108)

(-109)

0/100 Channel-Charge Partition
If Vds < Vdsat,
(-110)

(-111)

(-112)

(-113)

(-114)

otherwise,
(-115)

(-116)

(-117)

(-118)

For capmod=1
if Vgs < Vfb + Vbs + Vgsteffcv,
(-119)
else
(-120)

(-121)

(-122)

(-123)

(-124)

(-125)

(-126)
If Vds ≤ Vdsat,
(-127)

(-128)

50/50 Charge-Channel Partition
(-129)

40/60 Channel-Charge Partition
(-130)

(-131)

0/100 Channel-Charge Partition
(-132)

(-133)

If Vds > Vdsat,
(-134)

(-135)

50/50 Channel-Charge Partition
(-136)

40/60 Channel-Charge Partition
(-137)

(-138)

0/100 Channel-Charge Partition
(-139)

(-140)

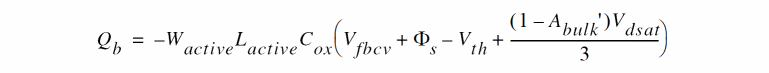
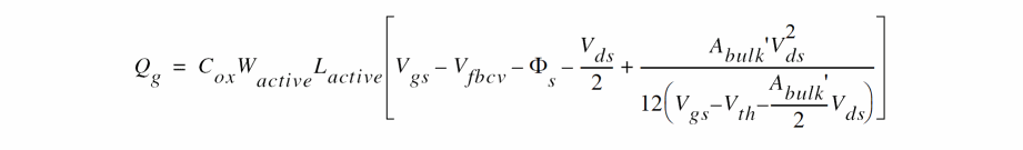
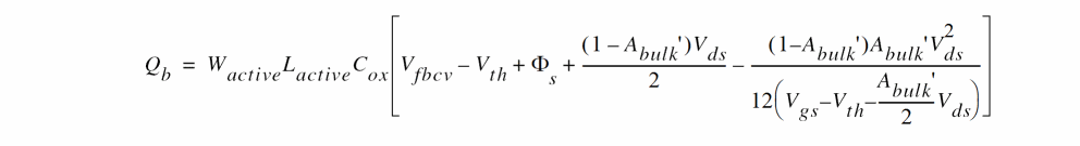
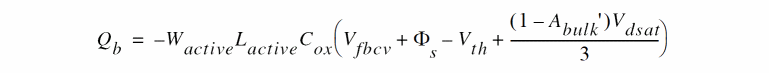
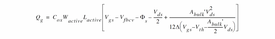
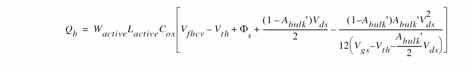
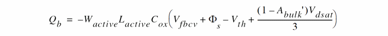
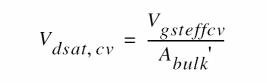
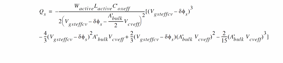
For capmod=2
(-141)

(-142)

(-143)

(-144)
(-145)

(-146)

(-147)

(-148)

(-149)

(-150)

(-151)
(-152)
(-153)

(-154)

50/50 Charge Partition
(-155)

40/60 Channel-Charge Partition
(-156)

(-157)

0/100 Charge Partition
(-158)

(-159)

For capmod = 3
capmod = 3 supports only zero-bias Vfp; that is, Vfb is calculated from bias-independent Vth, regardless of the version number. This is different from capmod = 1 and 2.
(-160)
(-161)
(-162)

(-163)
where
(-164)

(-165)

(-166)

(-167)

(-168)

(-169)

(-170)

(-171)

(-172)

(-173)

(-174)

(-175)
(-176)

(-177)

(-178)

(-179)

(-180)

(-181)
(-182)
(-183)

(-184)

(-185)

(-186)

50/50 Charge Partition
(-187)

40/60 Charge Partition
(-188)

(-189)

0/100 Charge Partition
(-190)
(-191)
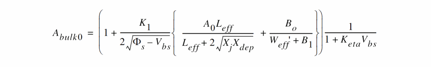
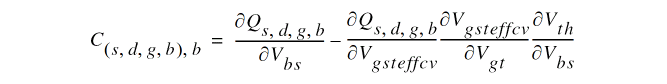
Intrinsic Capacitances (with Body Bias and DIBL)
(-192)
(-193)
(-194)
(-195)
Related Topics
BSIM3v3 Level-11 Model (bsim3v3)
LOD Model
Nonquasi-static (NQS) Model
SPICE3 Junction Diode Model
Return to top