I-V Model
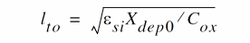
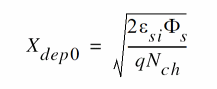
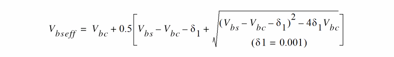
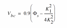
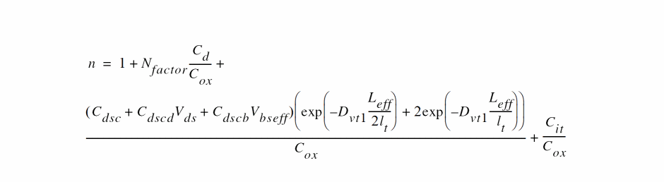
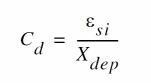
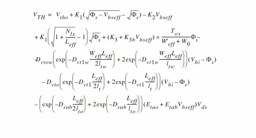
Threshold Voltage
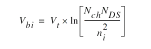
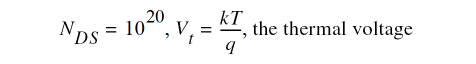
(-5)
where
(-6)

(-7)

(-8)

(-9)

(-10)

(-11)

(-12)

(-13)

(-14)

Effective Vgs-Vthc
(-15)
(-16)

(-17)

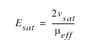
Mobility
For Mobmod=1,
(-18)
For Mobmod=2,
(-19)

For Mobmod=3,
(-20)

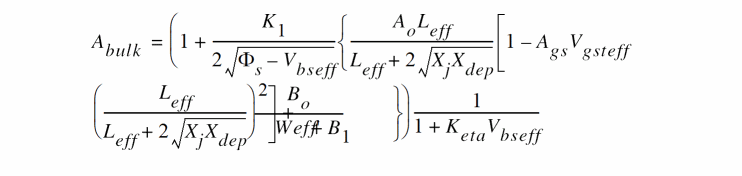
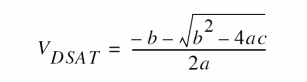
Drain Saturation Voltage
For Rds > 0 or λ ≠ 1,
(-21)
(-22)

(-23)

(-24)

(-25)

For Rds = 0 and λ = 1,
(-26)
(-27)

(-28)

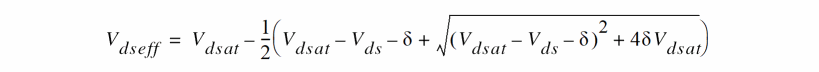
Effective Vds
(-29)
Drain Current Expression
(-30)
(-31)

(-32)

(-33)

(-34)
(-35)

(-36)

(-37)

(-38)

Substrate Current
(-39)
(-40)

Junction Saturation Current
is always overrides js. If you give js but not is, the saturation currents are calculated from js and the source and drain areas.
Polysilicon Depletion Effect
(-41)
(-42)

(-43)

(-44)

(-45)

(-46)

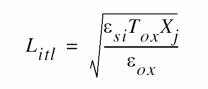
Effective Channel Length and Width
(-47)
where
(-48)

(-49)
(-50)
(-51)

(-52)

(-53)

(-54)
Drain/Source Resistance
(-55)
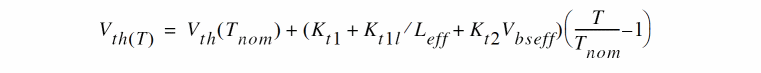
Temperature Effects
(-56)
(-57)
(-58)
(-59)
(-60)
(-61)
(-62)
Related Topics
BSIM3v3 Level-11 Model (bsim3v3)
LOD Model
Capacitance Model
Nonquasi-static (NQS) Model
SPICE3 Junction Diode Model
Return to top