Default Model Parameter Value Calculation
-
If vtho is not given, it is calculated from
(-216)

-
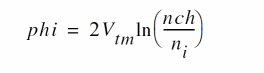
If phi is not given, it is calculated from
(-217)
where Vtm is the thermal voltage given by
(-218)

(-219)

where Eg(T) is the energy band gap at temperature T. The equation for Eg is shown in Chapter 12 Common MOSFET Equations.
-
If k1 is not given, it is calculated from
(-220)

-
If k2 is not given, it is calculated from
(-221)

-
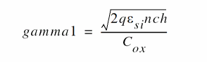
If gamma1 is not given, it is calculated from
(-222)

-
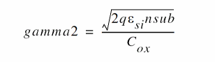
If gamma2 is not given, it is calculated from
(-223)

-
If Version <= 3.1 or version = 3.21, and capmod < 3
(-224)

otherwise
(-225)

-
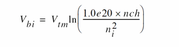
If Vbi is not given, it is calculated from
(-226)

-
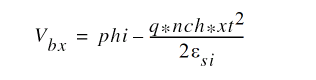
If Vbx is not given, it is calculated from
(-227)

-
If cgso is not given, dlc is given, and dlc > 0
(-228)

otherwise
(-229)

-
If cgdo not given, dlc given, and dlc > 0
(-230)

otherwise
(-231)

Return to top