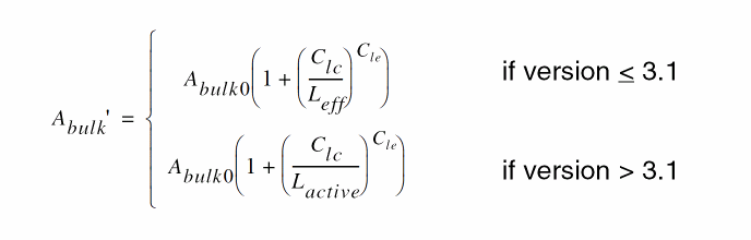
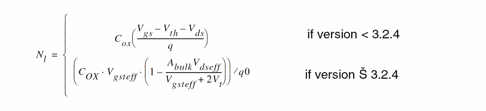
Differences between BSIM3v3 Subversions
-
Intrinsic Charges
|
When
|
The equations are
|
|
capmod=0
|
(-270)

|
|
capmod=1
|
(-271)

(-272)

|
|
capmod=2
|
(-273)

(-274)

|
|
capmod=3
|
(-275)

|
-
Flicker noise
For noimod=2 and 3
(-276)

-
Channel Thermal Noise
(-277)

-
If vto is not given
(-278)

-
Overlap Capacitance
-
If OverlapCgs < 0
For BSIM3v3 version < 3.1
(-279)

For BSIM3v3 version ≥ 3.1
(-280)

-
If OverlapCgd < 0
For BSIM3v3 version < 3.1
(-281)

For BSIM3v3 version ≥ 3.1
(-282)

-
If OverlapCgb is not given
For BSIM3v3 version < 3.1
(-283)

For BSIM3v3 version ≥ 3.1
(-284)

Return to top