BSIM4 Version 5
BSIM4.5.0 has the following new features:
- A mobility model which accounts for Coulomb scattering effect as well as the channel length dependence of mobility due to heavy halo-doping
- A scalable substrate resistance model (rbodyMod = 2) that is scalable with channel length, channel width, and number of fingers
- Gate resistance parameters XGW, NGCON that can now be specified as instance parameters (XGL is still a model parameter)
- Additional temperature dependence of model parameters VOFF and VFBSDOFF
- Enhanced tempMod = 2, where Vth(DITS) and gate tunneling models are functions of nominal temperature and the temperature dependence of zero-bias flat-band voltage is added
- A new instance parameter DELVTO that may be used to represent threshold voltage variation
- A new well-proximity effect model developed by CMC companies
- Igc Vbs dependence improvement with the full BSIM4 Vth model implemented
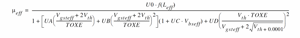
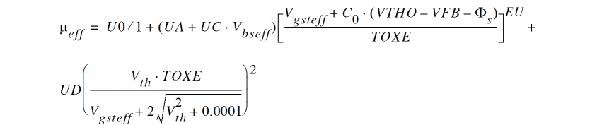
Mobility Model
Mobility Coulomb Scattering Model and Leff dependence
where the constant C0 = 2 for NMOS and 2.5 for PMOS.
Scalable Substrate Resistance Model
Temperature Dependence for VOFF, VFBSDOFF
New Temperature Mode (TempMod = 2)
Share the same temperature equations as for TempMod=1 with the following modifications:
DELVTO: An Instance Parameter
Well-Proximity Effect Modeling
Instance parameters: SCA, SCB, SCC, SC
Model parameters: WEB, WEC, KVTH0WE, K2WE, KU0WE, SCREF, WPEMOD
Gate Current Vbs Dependence
Implementing full BSIM4 Vth model into Igc enables the accurate prediction of Igc Vbs dependence.
Return to top




