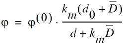
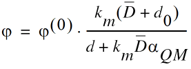
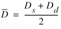
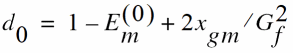
Core Model
Lateral Gradient Factor
The lateral field gradient in SPMOS is reduced with surface potential through the following semi-empirical formula:
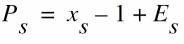
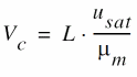
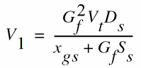
Effective Drain-Source Voltage
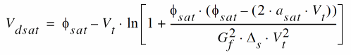
The saturation voltage is given by
The effective drain-source voltage is given by
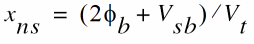
Surface Potential
Surface Potential at Source End of Channel
The approximate analytical solution for surface potential is
where the normalized imref splitting is
In the process of computing surface potential, the following are computed as well
The evaluation of
,
,
is carefully ordered to avoid over/underflow problems.
After evaluating surface potential
, you can compute the normalized inversion charge at the source
Series resistance is given by:
Series resistance factor is given by:
Effective vertical field is given by:
where
for n-channel and
for p-channel MOSFETs.
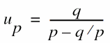
Effective mobility at the source end of the channel is given by:
where the term
introduces non-universality. The denominator assures that
does not exceed 5 for extreme (and unphysical)
.
and
are temporary variables. Eventually these will be changed to assure the symmetry of the model. Also,
if external model of series resistance is used.
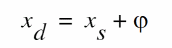
Surface Potential at Drain End of Channel
Surface potential at the drain end of the channel is
The above equation is used when
For
, it is more efficient to:
While computing
, the following variables are computed as well:
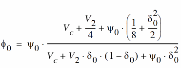
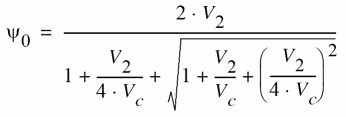
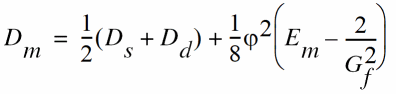
Mid-Point Surface Potential
The following variables are used:
Normalized inversion charge is calculated by:
where
for n-channel and
for p-channel MOSFETs.
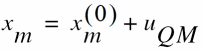
Quantum Mechanical Corrections
In SPMOS quantum-mechanical (QM) corrections are considered in the most common case
which is of interest for the charge-sheet models.
QM corrections are directly used for
and
.
This is preferable to correcting
and
, especially in the case when
is a small difference of two large variables.
In the following equations, superscript 0 refers to variables uncorrected for QM effects.
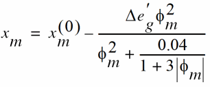
There is no correction for
. This form is introduced to eliminate the singularity or unphysical behavior near
. Coefficients 0.04 and 3 are not affected by model parameters and are fixed.
In addition to correcting
and
, QM effects are introduced into
and variables
, which are given by the above expressions but with
corrected for QM effects.
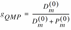
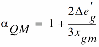
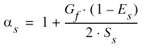
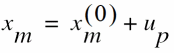
Polysilicon Depletion
In SPMOS polysilicon depletion equations are conditioned to provide smooth device characteristics for a wide voltage range but at present the poly effects are only included for
.
The normalized poly surface potential at midpoint
In this section the superscript 0 indicates that the variable is not corrected for poly depletion effect.
Poly corrections are introduced into
and
rather than into
and
directly.
The corrected midpoint surface potential is
The correction to normalized surface potential difference
is as follows
where
is given in section “Quantum Mechanical Corrections” with superscript 0 indicating that the variable is not corrected for poly depletion effect
In addition to changing the surface potentials, poly correction affects the linearization of inversion charge and intrinsic charges. The expressions in sections “Drain Current” and “Intrinsic Charges” include these corrections.
The case of no poly effect can be recovered by setting
. While physically this corresponds to
, in SPMOS eliminating poly effects is formally prescribed by setting
in the parameter file.
Drain Current
This ensures that
and
during SPICE convergence when
can be unphysically high.
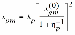
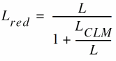
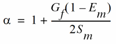
The channel length modulation factor is calculated by the following equation:
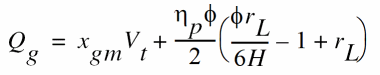
Drain current is calculated by
where the inversion charge linearization (including polysilicon depletion effect) is:
Intrinsic Charges
All charges are normalized to
.
Drain charge (computed using Ward-Dutton partition)
Bias-Dependent Body Factor
Return to top











