Extrinsic Model
Bias-Independent Variables
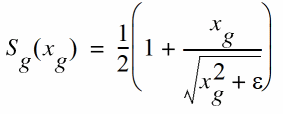
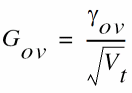
Normalized overlap body factor ° °°°°°°
Tunneling current density constant (in
)
Channel tunneling current density exponential constant (dimensionless)
Overlap tunneling current density exponential constant (dimensionless)
Auxiliary variable of gate current model
Streamlined Surface Potential Approximation
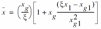
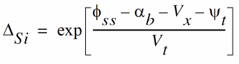
The availability of the surface potential in the overlap regions is essential to the physical modeling of the charge and gate current components. The streamlined analytical approximation of the surface potential excludes the effects of minority carriers and consequently is even simpler and more efficient than the one employed in the channel region.
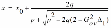
For
, proceed in the follow steps
The evaluation of
and
is carefully ordered to avoid over/underflow problems.
Charge Model
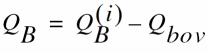
Inner fringe charge correction
where the superscript (i) indicates that the value for that parameter is taken from the SP intrinsic model.
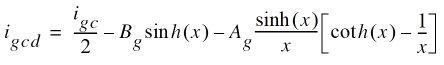
Gate Current Model
Channel contribution
where F s is the supply function describing the difference of the population of carriers across the oxide at mid-point and is given by
Source-Drain Partition
The partition of the gate current in the channel area into the source and drain is essential for the MOSFET compact modeling, which is accomplished in SPMOS using the symmetrical linearization method.
and the source portion is given by
Source Overlap Region Contribution
The supply function,
, describing the difference of the population of carriers across the oxide in the source overlap region, given by
Drain overlap region contribution
The supply function,
, describing the difference of the population of carriers across the oxide in the drain overlap region, given by
By setting SW_IGATE to 0 (default value) gate current model is turned off.
Substrate Current Model
The substrate current of MOSFETs due to impact ionization is given by
Total Terminal Currents
The effect of
and
on the gate, source, drain and body components are as follows
where
,
and
are terminal currents produced by the intrinsic (core) SPMOS model and
The computation of the impact ionization current be turned off by setting the parameter SW_IMPACT to 0 (default) and turned on by setting SW_IMPACT to 1.
Noise Model
Channel Thermal Noise
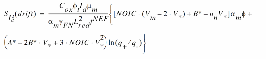
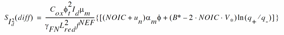
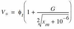
Flicker Noise
If SW_FLICKER is set to 1 then
Series resistance thermal noise
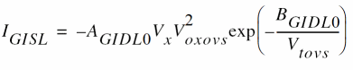
Gate Induced Drain/Source Leakage Current Model
GIDL Model Equations
Return to top
























