Model Equations
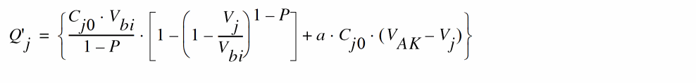
Junction Charge


Ideal Current

Ideal Current with High Injection

Shockley-Read-Hall current





Trap-Assisted Tunneling Current













Band-to-band tunneling current



Avalanche and Breakdown

Total Current
Thermal Voltage

Band Gap

Intrinsic Carrier Concentration

Saturation Current Density

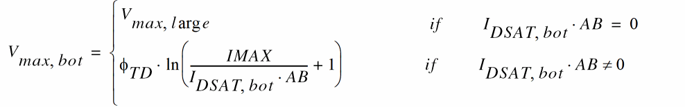
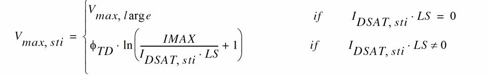
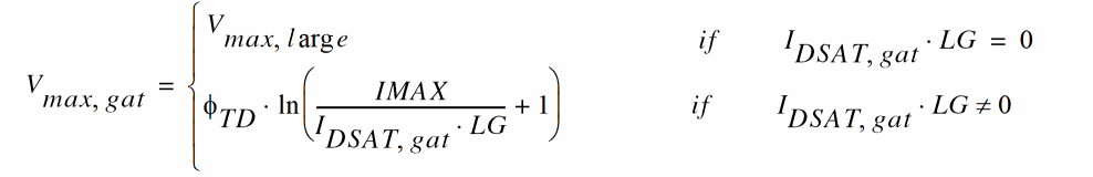
Determination of Vmax



Built-In Voltages






Determination of VF, min and Vch

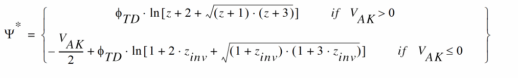
Voltage Difference VAK
Final Junction Current
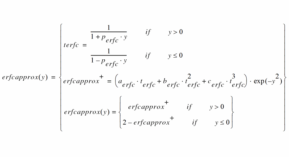
Auxiliary Equations


Related Topics
Return to top