Product Documentation
Spectre Circuit Simulator Components and Device Models Reference
Product Version 23.1, June 2023

Collector Leakage Current

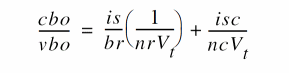
If vbo is specified, the collector leakage current ICB for VBC ≤ 0 is modeled by

To make the transition at smooth, must satisfy

.

Related Topics

Substrate Leakage Current

BJT Model (bjt)


Return to top
 ⠀
X