Product Documentation
Spectre Circuit Simulator Components and Device Models Reference
Product Version 23.1, June 2023

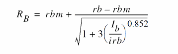
Nonlinear Base Resistance

If irb is given and rbmod = spice or SPICE compatibility is required,

where

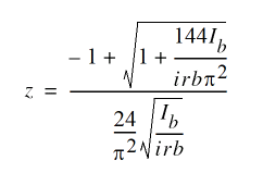
If irb is given and rbmod = spectre,

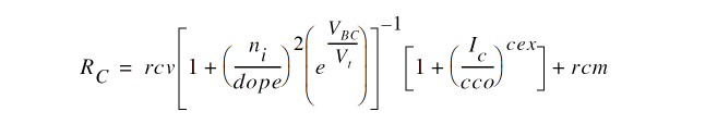
Nonlinear Collector Resistance (If rcv Is Specified)

Related Topics

DC Current

Collector Leakage Current

Substrate Leakage Current

BJT Model (bjt)


Return to top
 ⠀
X