Charge formulation of the internal transistor
All depletion charges and capacitances are described with the same equations as HICUM/L2. The formulation of forward minority charge Qf is strongly based on the accurate description of the transit time
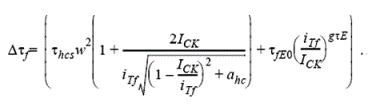
. Like in HICUM/L2, the bias dependent of
is modeled as
with the low current component
, the high-current component
and the
as the forward transfer current. The formulation of
is same as in HICUM/L2.

The minority charge Qf used for dynamic transistor operation is then obtained analytically by integrating
over
.

Return to top