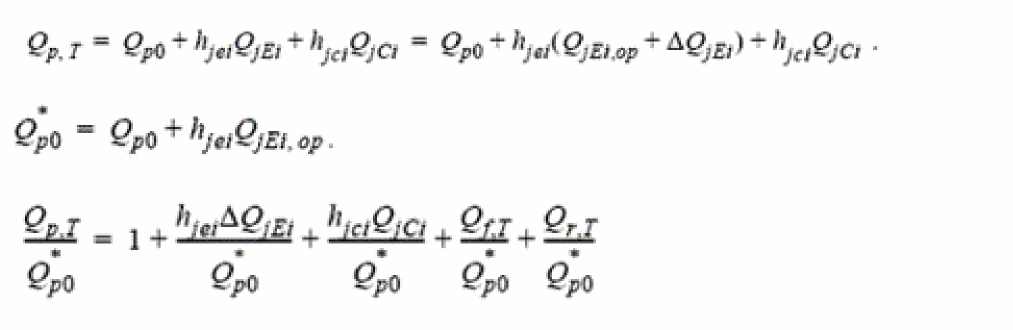
Derivation of the simplified transfer current equation

The derivation starts with the transport related charge for low bias:

The resulting transfer current expression reads

with a modified saturation current

The forward transfer current equation can be written in a more familiar form:


the low-current transconductance at the selected bias point VB’E’,op is given by

The artificial Early Voltage is defined as:

The critical (or knee) current of the D.C. forward transfer curve is defined as:

Quadratic equation for normalized charge:

The final formulation for the HICUM/L0 transfer current components:

The total transfer current in HICUM/L0 reads:

Return to top