Product Documentation
Contents
Static Base Current Components
View/Print PDF
Minority Charges And Capacitan ...
Spectre Circuit Simulator Components and Device Models Reference
Product Version 23.1, June 2023
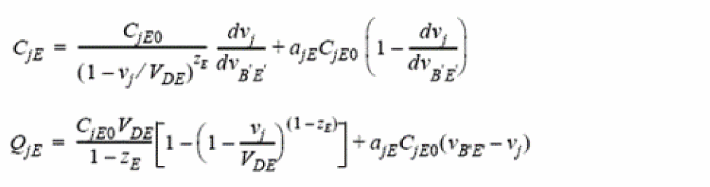
Depletion Charges And Capacitances
Return to top
⠀
X