Minority Charges And Capacitances
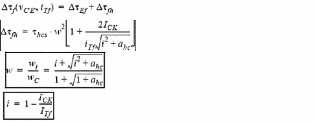
The transit time consists of two components:

Low current densities

The respective forward minority charge is given by:

Medium and high current densities
The total increase in the (forward) transit time is given by:

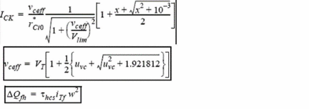
The critical current ICKis described by the same voltage dependence as for HICUM/L2.:

Return to top