Product Documentation
Contents
Derivation of the simplified t ...
View/Print PDF
Depletion Charges And Capacita ...
Spectre Circuit Simulator Components and Device Models Reference
Product Version 23.1, June 2023
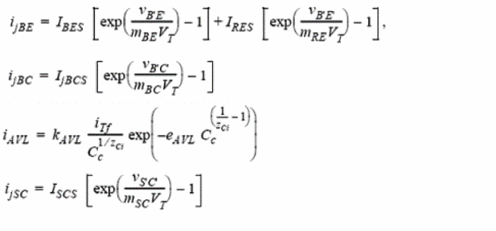
Static Base Current Components
Related Topics
Depletion Charges And Capacitances
Model Version Updates
HiCUM Level-0 Model (bht0)
Return to top
⠀
X