Product Documentation
Spectre Circuit Simulator Components and Device Models Reference
Product Version 23.1, June 2023

9


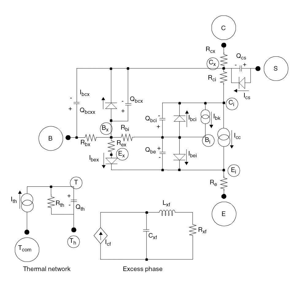
HBT Model (ucsd_hbt)

This topic contains the following information for the UCSD HBT model:

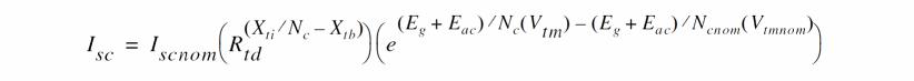
DC Current

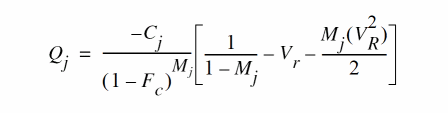
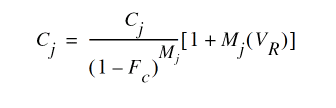
Junction Capacitance

Define

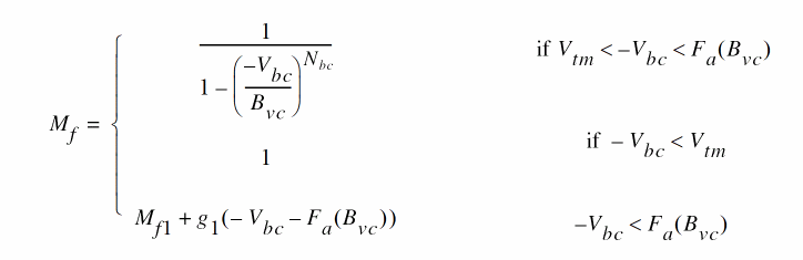
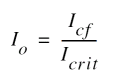
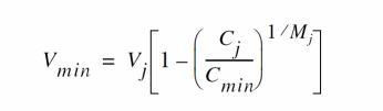
If V < Vmin,

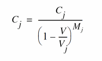
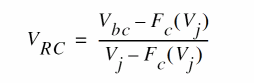
If V < Fc(Vj),

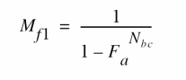
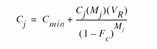
If V > Fc(Vj) and CjCmin(1 – Fc)Mj,

where

If V > Fc(Vj) and Cj < Cmin(1 – Fc)Mj,

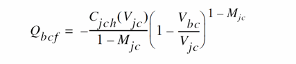
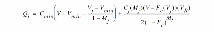
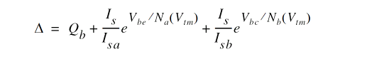
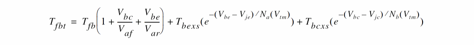
Total Charge

where Qje is the junction charge Qj with V = Vbe.

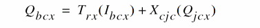
where

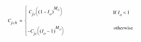
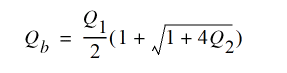
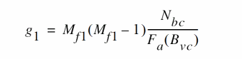
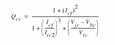
where Qbcf is calculated according to the following rules:

Define

where

If Cjch < 0,

If Cjch ≥ 0, define

If Vbc < Fc(Vjc) and Vbc < Vmin1,

If Vbc < Fc(Vjc) and VbcVmin1,

If VbcFc(Vjc) and Cjch > Cmin(1 – Fc)Mjc,

where

If VbcFc(Vjc) and CjchCmin(1 – Fc)Mjc,

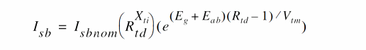
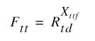
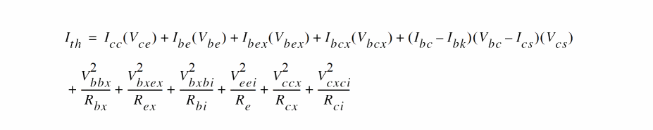
Thermal Current Equations

Temperature Equations

Scaling Effects

For scaling effects, Scaling Factors (scale and scalem).

Component Statements

Sample Instance Statement

q7 (net5 net2 0) hbtmod m=1 top=25

Sample Model Statement

model hbtmod hbt type=npn bf=500 br=1000 xtb=-2.4 xti=0 xcjc=0.83 mje=0.34 fc=0.5 eg=1.2 ise=5.5e-15 vjc=0.84 vaf=40 cjc=5.1e-15

Instance Syntax

Name  c  b  e  s [t] ModelName parameter=value ...

The thermal node is an optional node. If it is specified, then it is the external thermal terminal. If it is not specified, and self heating effect is turned on by using selft=1, then an internal thermal node will be created.

Instance Parameters

area=1

Transistor area factor.

m=1

Multiplicity factor.

isnoisy=yes

Should resistor generate noise. Possible values are yes or no.

trise=0 C

Variability in device temperature.

selft=0

Self-Heating flag as an instance parameter.

Model Syntax

model modelName hbt parameter=value ...

Model Parameters

version=2

Model Version.

level=2

Model Level.

compatible=0

Possible values are SPECTRE and NI.

abel=0.0 A

Base-Emitter current: Portion of base-emitter current allocated to extrinsic region.

af=1.5

Flicker noise exponent.

area=1.0

Device area factor (Does not scale parasitic inductors or capacitors).

cjc=0.0 F

Base-collector capacitance: zero-bias capacitance.

cje=0.0 F

Base-emitter capacitance: zero-bias capacitance.

cjs=0.0 F

Substrate depletion capacitance at zero voltage.

cpbc=0.0 F

Parasitic / fringing base-collector capacitance.

cpbe=0.0 F

Parasitic / fringing base-emitter capacitance.

cpce=0.0 F

Parasitic / fringing collector-emitter capacitance.

dtmax=500 C

Alias of ETMAXTEMP. Maximum temperature rise above heatsink in Celsius degrees.

etmaxtemp=500 C

Maximum temperature rise above heatsink in Celsius degrees.

eaa=0.0 V

Temperature dependence of ISA.

eab=0.0 V

Temperature dependence of ISB.

ffe=1.0

Flicker noise frequency exponent.

ics=1.0e-30 A

Saturation value for collector-substrate current.

ik=1e10 A

High current roll-off in Beta.

ikrk=1e3 A

Kirk effect: critical current for Kirk effect at Vbc=0.

imax=10.0 A

Explosion current.

is=1e-25 A

Collector-Emitter current: Forward collector saturation current.

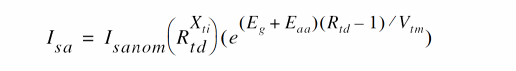
isa=1e10 A

Base-emitter heterojunction saturation current (BE barrier effects).

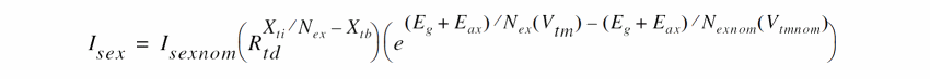
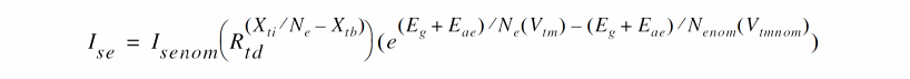
isb=1e10 A

Base-collector heterojunction saturation current (BC barrier effects).

isc=1e-30A

Base-Collector current: Non-ideal base-collector saturation current.

ise=1e-30 A

Base-Emitter current: Non-ideal base-emitter current.

itc=0 A

Collector transit time: midpoint in collector current between TFC0 and TCMIN.

itc2=0 A

Collector transit time: transition width in collector current between TFC0 and TCMIN.

kf=0

Flicker noise coefficient.

lpb=0 H

Parasitic base inductance.

lpc=0 H

Parasitic collector inductance.

lpe=0 H

Parasitic emitter inductance.

mjc=0.33

Base-collector capacitance: grading factor (0.1<MJC).

mje=0.5

Base-emitter capacitance: grading factor (0.1<MJE).

mjs=0.5

Exponent for voltage variation of C-S Cj.

na=2

Base-emitter heterojunction ideality factor.

nb=2

Base-collector heterojunction ideality factor.

nc=2

Base-Collector current: Non-ideal base-collector current ideality factor.

ncs=2

Ideality factor for collector-substrate current.

ne=2

Base-Emitter current: Non-ideal base-emitter current ideality factor.

nf=1

Collector-Emitter current: Forward collector current ideality factor.

nr=1

Collector-Emitter current: Reverse emitter current ideality factor.

rbi=0 W

Intrinsic base resistance.

rbx=0 W

Extrinsic base resistance.

rci=0 W

Intrinsic collector resistance.

rcx=0 W

Extrinsic collector resistance.

re=0 W

Emitter resistance.

tbp=298.15 K

Base-plate temperature. Specifying this parameter enables partial Self Heating. Self-consistent (or dynamic) temperature is obtained by adding temperature rise due to power dissipation and TBP.

tfb=0 s

Base transit time: delay through the base.

tfc0=0 s

Collector transit time: low current transit time.

tkrk=0 s

Kirk effect: Kirk effect delay time.

tnom=27 C

Parameters measurement temperature. Default value is set by options.

tr=0.35e-9 s

Reverse transit time.

tvjc=0 V/K

Rate of change in temperature of VJC (Volt/K).

tvje=0 V/K

Rate of change in temperature of VJE (Volt/K).

tvjs=0 V/K

Coefficient for VJS temperature dependence.

vaf=1000 V

Forward Early voltage.

var=1000 V

Reverse Early voltage.

vjc=1.4 V

Base-collector capacitance: built-in voltage.

vje=1.6 V

Base-emitter capacitance: built-in voltage.

vjs=1.4 V

Built-in potential for substrate capacitance.

vkrk=10.0 V

Kirk effect: rate of change of IKRK with Vcb.

xrb=0

Temperature exponent for RBI and RBX.

xrc=0

Temperature exponent for RCI and RCX.

xre=0

Temperature exponent for RE.

xikrk=0

Alias of XTIKRK. Temperature exponent for IKRK.

xtikrk=0

Temperature exponent for IKRK.

xitc=0

Alias of XTITC. Temperature exponent for ITC.

xtitc=0

Temperature exponent for ITC.

xitc2=0

Alias of XTITC2. Temperature exponent for ITC2.

xtitc2=0

Temperature exponent for ITC2.

xttkrk=0

Temperature exponent for TKRK.

xtkrk=0

Alias of XTTKRK. Temperature exponent for TKRK.

xtvkrk=0

Temperature exponent for VKRK.

xvkrk=0

Alias of XTVKRK. Temperature exponent for VKRK.

selft=0

Self-Heating flag.

bkdn=0

Breakdown current flag.

ext_flag=0

ADS-Extensions flag.

compat=0

Compatible flag.

partialsh=0

Partial self-heating flag.

nflag=0

Noise flag.

type=1

Transistor type. Possible values are pnp and npn.

bf=10000 A/A

Forward ideal current gain (beta).

br=10000 A/A

Reverse ideal current gain.

isex=1e-30 A

Saturation current for emitter leakage diode.

nex=2

Ideality factor for emitter leakage diode.

iscx=1e-30 A

Saturation current for extrinsic BC junction current.

ncx=2

Ideality factor for extrinsic BC junction current.

fa=0.9

Factor to specify avalanche voltage.

bvc=1000 V

C-B breakdown voltage (BVcb0); positive.

nbc=8

Exponent for BC multiplication factor vs. voltage.

rex=1e-3 W

Extrinsic emitter leakage diode series resistance.

cemin=1e-40 F

Min value of intrinsic BE capacitance.

fce=0.8

Factor for BE capacitance approximation near Vbi.

ccmin=1e-40 F

Min value of intrinsic BC capacitance.

fc=0.8

Factor for BC capacitance approximation near Vbi.

cjcx=0.0 F

Extrinsic BC capacitance at zero voltage.

vjcx=1.4 V

Extrinsic BC capacitance Vbi.

mjcx=0.33

Extrinsic base-collector capacitance: grading factor (0.1<MJCX).

cxmin=1e-40 F

Minimum extrinsic BC capacitance.

xcjc=1

Factor for partitioning BC capacitance.

tbcxs=0

Excess BC transit time.

tbexs=0

Excess BE transit time.

icrit0=1e3 A

Critical current for junction capacitance.

vtc=1e3 V

Characteristic voltage for TFC.

trx=0 s

Reverse storage time for extrinsic BC diode.

fex=0 s

Excess phase factor.

rth=1e-8 W

Thermal resistance of device.

cth=1e-6 F

Thermal capacitance of device.

xti=2

Exponent for IS temperature dependence.

xtb=2

Exponent for beta temperature dependence.

tnc=0

Coefficient for NC temperature dependence.

tne=0

Coefficient for NE temperature dependence.

tnex=0

Coefficient for nex temperature dependence.

eg=1.5 V

Activation energy for IS temperature dependence.

eac=0 V

Activation energy for ISC temperature dependence.

eae=0 V

Activation energy for ISE temperature dependence.

eax=0 V

Activation energy for ISEX temperature dependence.

xrex=0

Coefficient for REX temperature dependence.

tvjcx=0 V/C

Coefficient for VJCX temperature dependence.

xttf=0

Coefficient for TF temperature dependence.

xrt=0

Coefficient for RTH temperature dependence.

tvpe=0 V/K

Rate of change in temperature of VPTE (Volt/K).

tvpc=0 V/K

Rate of change in temperature of VPTC (Volt/K).

ege=1.55 V

Effective emitter bandgap parameter.

tnf=0

Rate of change in temperature of NF.

xtis=3

Temperature exponent for IS.

xtih=4

Temperature exponent for ISH.

xtie=3

Temperature exponent for ISE.

egc=1.5 V

Effective collector bandgap parameter.

tnr=0

Rate of change in temperature of NR.

xtir=3

Temperature exponent for ISR.

xtic=3

Temperature exponent for ISC.

xtirh=4

Temperature exponent for ISRH.

xtik3=0

Temperature exponent for IKDC3.

xtfb=0

Temperature exponent for TFB.

xtcmin=0

Temperature exponent for TCMIN.

xtfc0=0

Temperature exponent for TFC0.

rth1=1000 W

Thermal resistance #1 (Kelvin/Watt).

rth2=0 W

Thermal resistance #2 (Kelvin/Watt).

cth1=5e-10 F

Thermal capacitance #1 (Sec-Amp/Volt).

cth2=0 F

Thermal capacitance #2 (Sec-Amp/Volt).

xth1=0

Temperature exponent for RTH1.

xth2=0

Temperature exponent for RTH2.

kb=0

Burst noise coefficient.

ab=1

Burst noise exponent.

fb=1 Hz

Burst noise corner frequency.

vtc0inv=0.3 1/V

Collector transit time: rate of change of TFC0 with Vcb (in inverse voltage) (1/Volt).

vtr0=2.0

Collector transit time: transition width in Vcb to VMX0 (models velocity saturation).

vmx0=2.0

Collector transit time: maximum Vcb for TFC0 (models velocity saturation).

vtcmininv=0.5 1/V

Collector transit time: rate of change of TCMIN with Vbc (in inverse voltage) (1/Volt).

vtrmin=1

Collector transit time: transition width in Vcb to VMXMIN (models velocity saturation).

vmxmin=1

Collector transit time: maximum Vcb for TCMIN (models velocity saturation).

vtc2inv=0.1 1/V

Collector transit time: rate of change of ITC2 with Vcb (in inverse voltage) (1/Volt).

vtcinv=0.1 1/V

Collector transit time: rate of change of ITC with Vcb (in inverse voltage) (1/Volt).

fextc=0.8

Collector transit time: fraction of the collector transit time charge allocated to the base-collector junction.

ikrktr=1.0e-6

Kirk effect: transition width to prevent Ikirk=0 (use sparingly).

vkrk2inv=0.2 1/V

Kirk effect: rate of change of TKRK with Vcb (in inverse voltage) (1/Volt).

gkrk=4

Kirk effect: exponent of Kirk effect delay.

vktr=1.0

Kirk effect: transition width in Vcb to VKMX.

vkmx=1.0 V

Kirk effect: maximum Vcb for TKRK.

fexke=0.2

Kirk effect: fraction of the Kirk effect charge allocated to the base-collector junction.

tcmin=5.0e-13

Collector transit time: high current transit time.

fextb=0.2

Base transit time: fraction of base transit time charge allocated to the base-collector junction.

ccmax=9.0e-14 F

Base-collector capacitance: maximum value in forward bias.

vptc=3.0 V

Base-collector capacitance: punchthrough voltage.

mjcr=0.03

Base-collector capacitance: grading factor beyond punchthrough.

abcx=0.75

Ratio between extrinsic and total base-collector regions.

cemax=1.0e-13 F

Base-emitter capacitance: maximum value in forward bias.

vpte=1.0 V

Base-emitter capacitance: punchthrough voltage.

mjer=0.05

Base-emitter capacitance: grading factor beyond punchthrough.

abex=0

Base-emitter capacitance: ratio between extrinsic and total base-emitter regions.

ikdc1=1.0

Soft knee effect: Transition width in Ic of q3 function.

ikdc2inv=0.0

Soft knee effect: Slope of q3 function (1/Amp).

ikdc3=1.0 A

Soft knee effect: Critical current at which soft knee effect occurs at Vcb=VJC.

vkdcinv=0.1 1/V

Soft knee effect: Transition width of Vcb (in inverse voltage) (1/Volt).

nkdc=3.0

Soft knee effect: maximum value of q3.

gkdc=0.0

Soft knee effect: Exponent of q3 factor in base current.

isr=1e-15 A

Collector-Emitter current: Reverse emitter saturation current.

isrl=0 A

ish=1e-27 A

Base-Emitter current: Ideal base-emitter current.

nh=1

Base-Emitter current: Ideal base-emitter current ideality factor.

isrh=1e-25 A

Base-Collector current: Ideal base-collector saturation current.

nrh=2

Base-Collector current: Ideal base-collector current ideality factor.

Output parameters

meff

Effective multiplicity factor (m-factor).

Operating-Point Parameters

type=1

Transistor type. Possible values are npn or pnp.

temp (C)

Average device operating temperature.

ibe (A)

Intrinsic B-E current.

ibc (A)

Intrinsic B-C current.

ice (A)

Intrinsic C-E current.

ics (A)

C-S junction current.

ibei (A)

B-E junction current.

ibci (A)

B-C junction current.

ibex (A)

XB-E junction current.

ibcx (A)

XB-C junction current.

qbe (A))

Intrinsic B-E charge.

qbc (A)

Intrinsic B-C charge.

qbex (A)

XB-E junction charge.

qbcx (A

XB-C junction charge

vbc (V)

Base-emitter voltage.

vbe (V)

Base-collector voltage.

vce (V)

Collector-emitter voltage.

vcs (V)

XC-substrate voltage.

pwr (W)

Power dissipation.

Related Topics

HBT Model (ucsd_hbt)

VBIC Model (vbic)

JFET Model (jfet)

Philips Models


Return to top
 ⠀
X