Noise Model
This topic contains model equations for the noise model.
Drain Resistance Thermal Noise
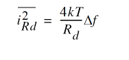
Source Resistance Thermal Noise
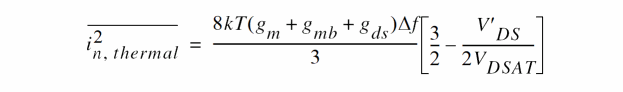
Channel Thermal and Flicker Noise
gm is the transconductance, gds is the channel conductance, and gmb is the body transconductance. The Spectre® circuit simulator default values for kf, af, and ef are 0.0, 1.0, and 1.0, respectively.
Related Topics
Source/Drain Bulk Junction Models
Temperature Effect on Model Parameters
Parameters Common to BSIM1 and BSIM2 Models
Return to top
